Open Access

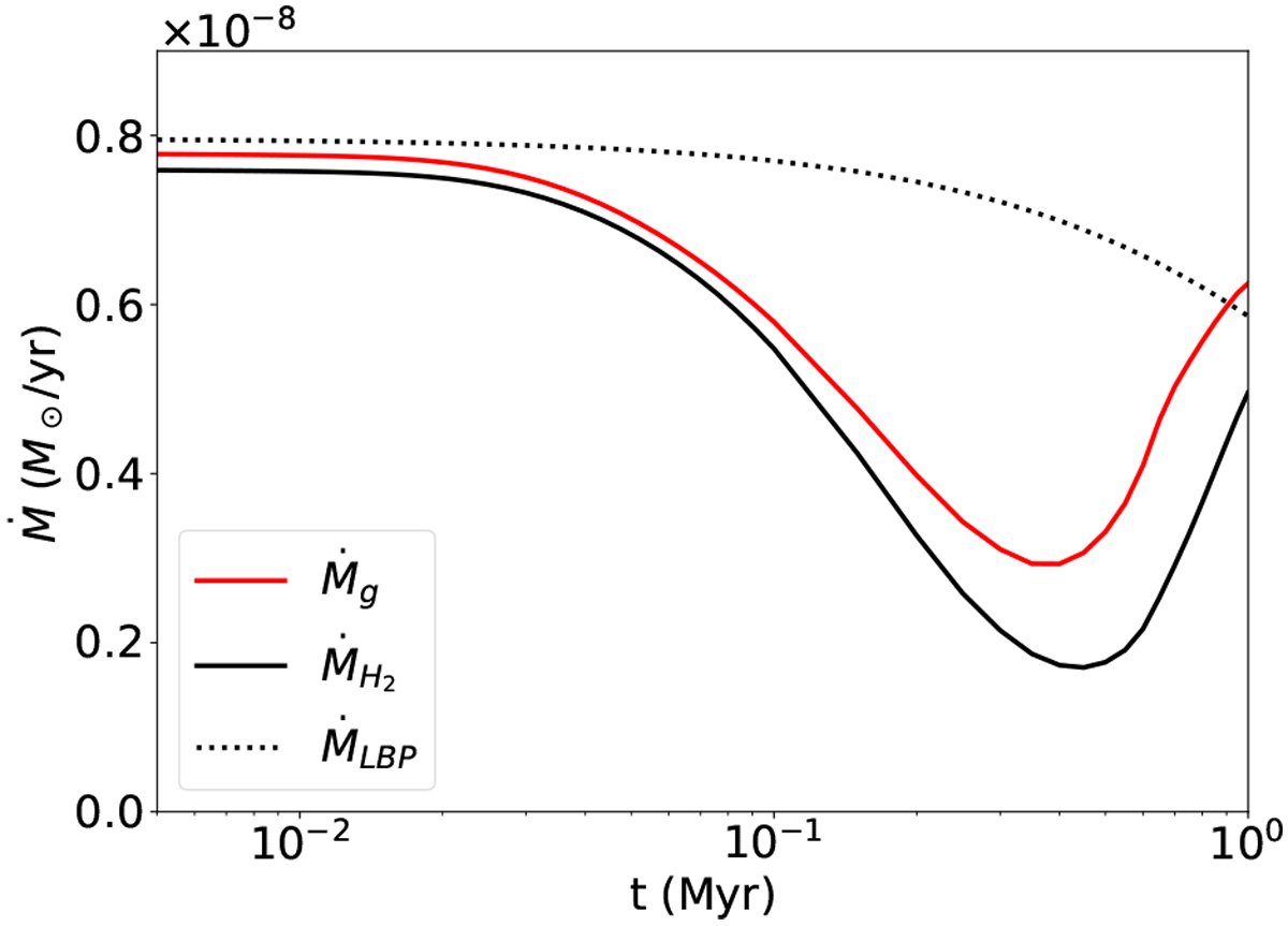
Fig. 12

image

Accretion rate over time for the simulation with self-similar profile and ε0 = 0.05. The gas accretion rate (red) decreases as the dust back-reaction damps gas velocity,and rises again after the dust is depleted. The accretion rate of H2, He (black) is even lower, as the gas supply of the outer regions is reduced at the snow line. The accretion rate of the standard self-similar solution (dotted line) is plotted for comparison.

Current usage metrics show cumulative count of Article Views (full-text article views including HTML views, PDF and ePub downloads, according to the available data) and Abstracts Views on Vision4Press platform.

Data correspond to usage on the plateform after 2015. The current usage metrics is available 48-96 hours after online publication and is updated daily on week days.

Initial download of the metrics may take a while.