Open Access

Fig. 13

image

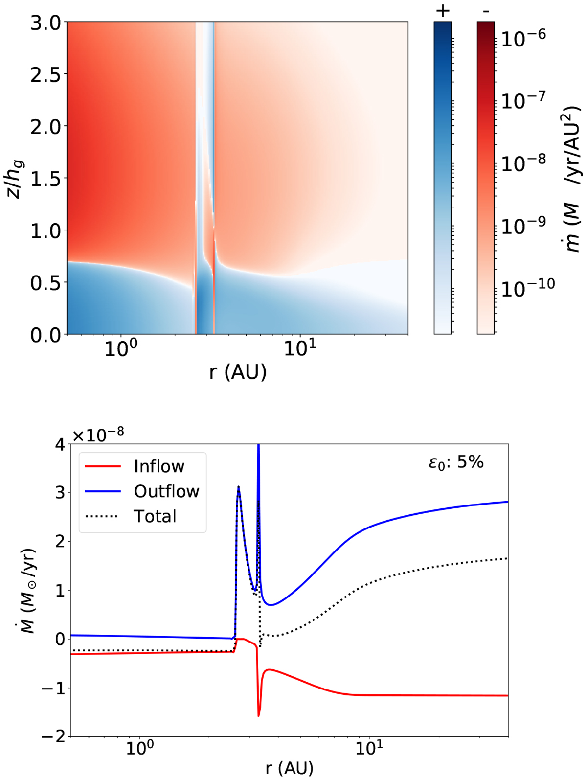
Top: mass flux for the simulation with ε0 = 5%, in the radialand vertical direction, obtained using the Takeuchi & Lin (2002) vertical velocity profiles. The blue regions show the material outflow, and the red regions show the inflow. Bottom: accretion inflow (red), outflow (blue), and the total mass accretion (dotted) profiles.

Current usage metrics show cumulative count of Article Views (full-text article views including HTML views, PDF and ePub downloads, according to the available data) and Abstracts Views on Vision4Press platform.

Data correspond to usage on the plateform after 2015. The current usage metrics is available 48-96 hours after online publication and is updated daily on week days.

Initial download of the metrics may take a while.