Open Access

Fig. 5

image

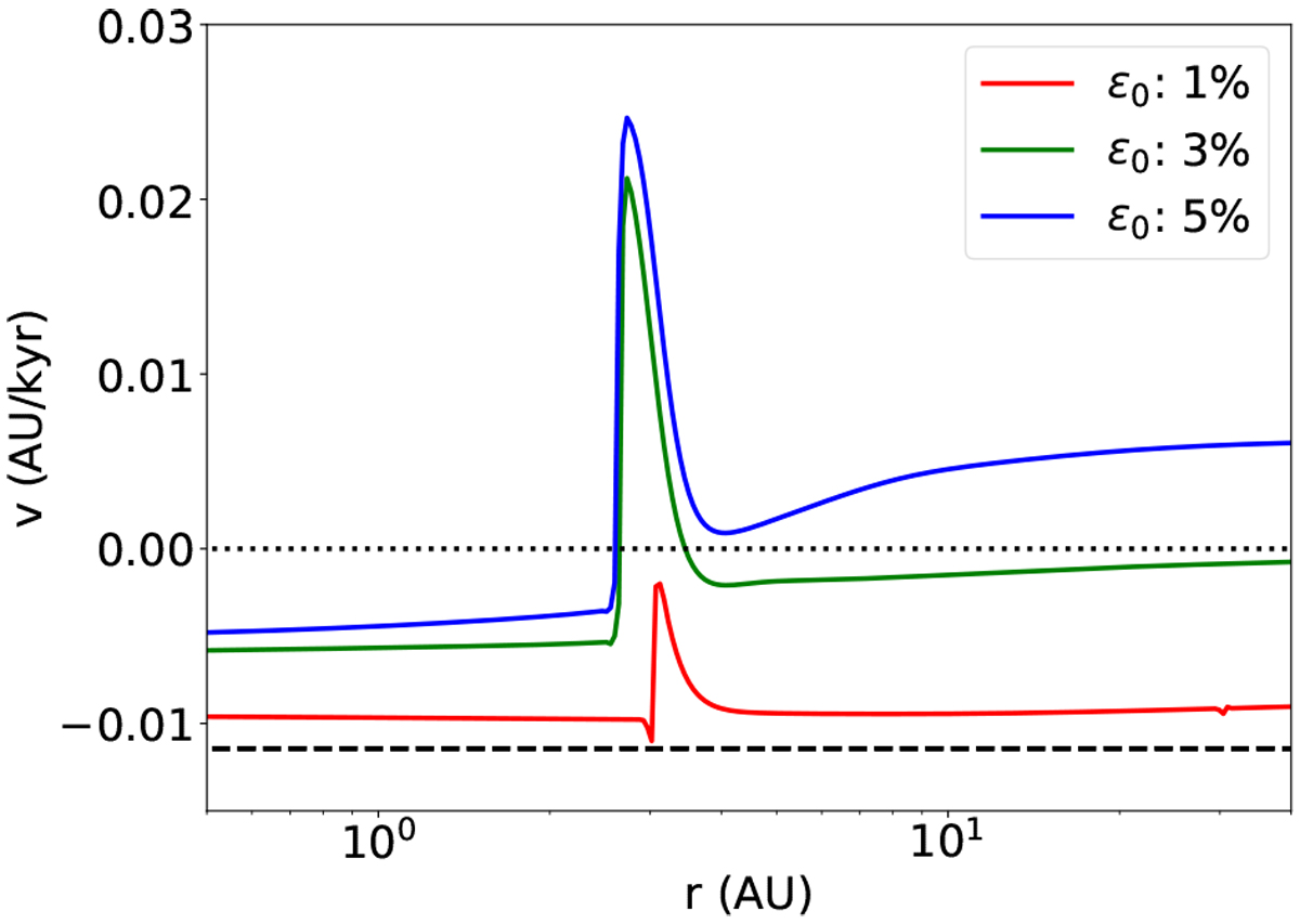
Radial gas velocities after 0.4 Myr (solid lines), and initial viscous velocity (dashed line). Outside the snow line, the dust back-reaction can stop, and even reverse, the gas flux for the simulations with ε0 ≥ 0.03.

Current usage metrics show cumulative count of Article Views (full-text article views including HTML views, PDF and ePub downloads, according to the available data) and Abstracts Views on Vision4Press platform.

Data correspond to usage on the plateform after 2015. The current usage metrics is available 48-96 hours after online publication and is updated daily on week days.

Initial download of the metrics may take a while.