Open Access

Fig. 7

image

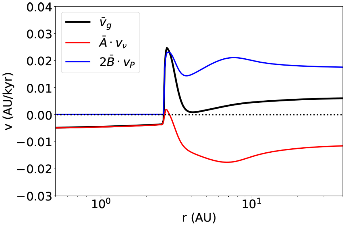
Gas velocity profile of the “High ε0” simulation after 0.4 Myr (black), and the decomposition of the two velocity terms Ā vν (red) and (blue) (see Eq. (14)). In the inner regions, the pushing term is negligible, as the particles Stokes number is too small, and the total velocity is dominated by the damped viscous velocity Ā vν. In the outer regions the term overcomes the viscous evolution, and pushes gas against the pressure gradient.

Current usage metrics show cumulative count of Article Views (full-text article views including HTML views, PDF and ePub downloads, according to the available data) and Abstracts Views on Vision4Press platform.

Data correspond to usage on the plateform after 2015. The current usage metrics is available 48-96 hours after online publication and is updated daily on week days.

Initial download of the metrics may take a while.