Open Access

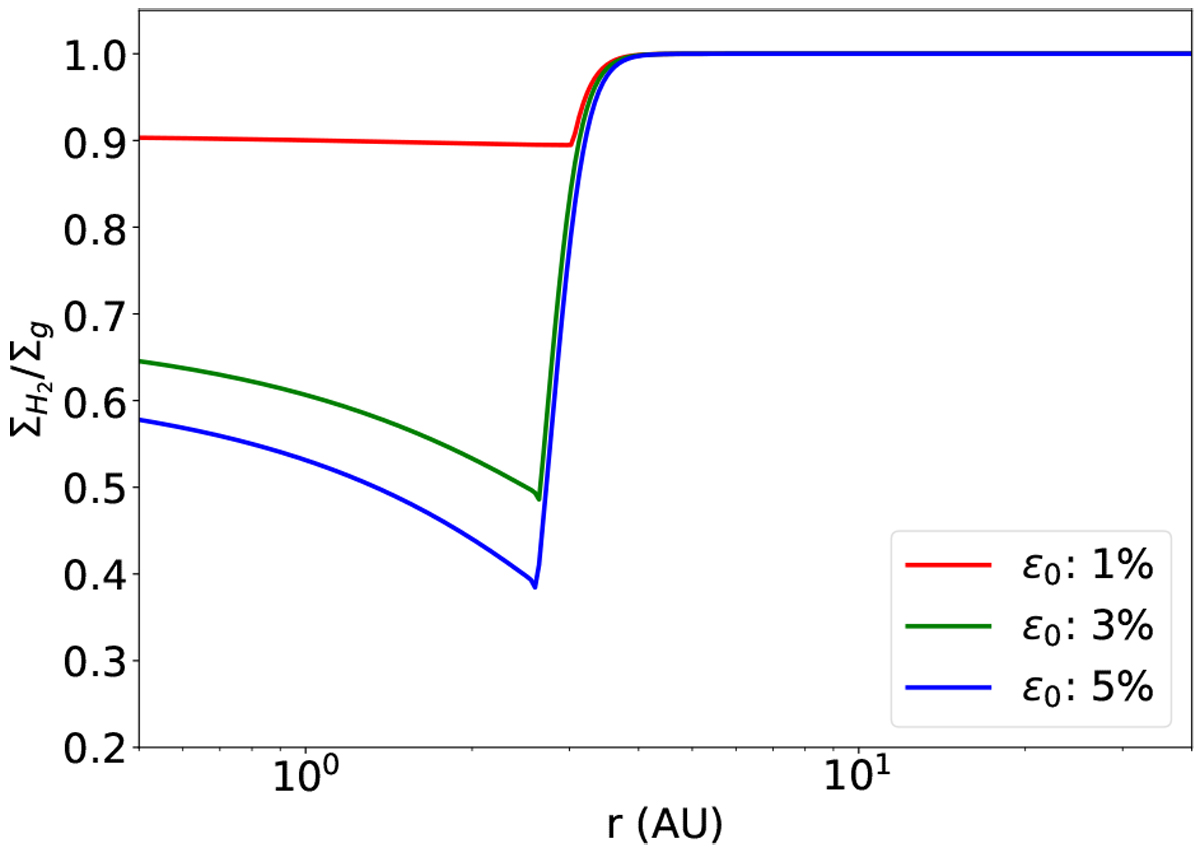
Fig. 8

image

H2, He mass fraction profile after 0.4 Myr. The mass fraction of light gases is lower inside the snow line as the dust crossing the snow line delivers water vapor. As the global dust-to-gas ratio increases, the back-reaction push outside the snow line reduces the flux of H2, He into the inner regions.

Current usage metrics show cumulative count of Article Views (full-text article views including HTML views, PDF and ePub downloads, according to the available data) and Abstracts Views on Vision4Press platform.

Data correspond to usage on the plateform after 2015. The current usage metrics is available 48-96 hours after online publication and is updated daily on week days.

Initial download of the metrics may take a while.