Free Access

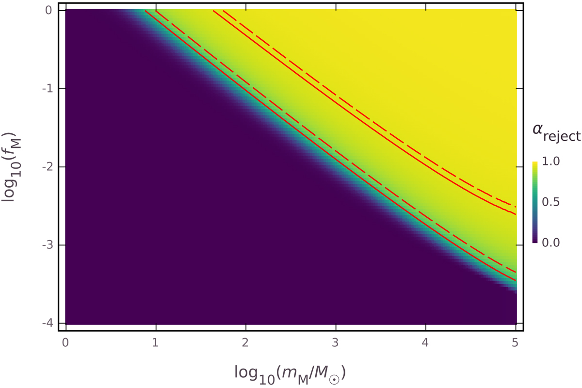
Fig. 12.

image

Constraints on massive astrophysical compact halo objects (MACHOs) as a form of dark matter, based on the velocity distributions in Eridanus 2. For each combination of MACHO mass mM and the fraction fM of dark matter consisting of MACHOs, the probability of rejection by the observations is indicated, using the fiducial cluster age of 8 Gyr. The red solid contours show where this probability reaches a 68- and 95% level. For dark matter consisting entirely of MACHOs, mM >  100.88M ≈ 7.6 M and mM >  101.64M ≈ 44 M are ruled out at the 68- and 95% level. The red dashed contours show how the constraints weaken slightly when a lower cluster age of 7 Gyr is assumed.

Current usage metrics show cumulative count of Article Views (full-text article views including HTML views, PDF and ePub downloads, according to the available data) and Abstracts Views on Vision4Press platform.

Data correspond to usage on the plateform after 2015. The current usage metrics is available 48-96 hours after online publication and is updated daily on week days.

Initial download of the metrics may take a while.