Free Access

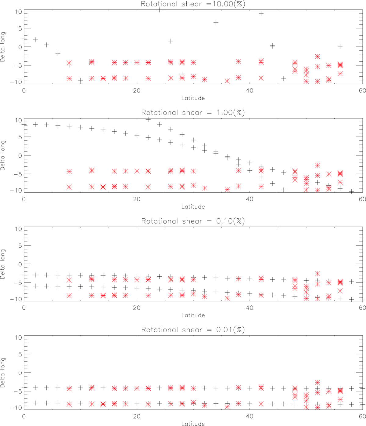
Fig. 15.

image

Expected longitude shifts (black crosses) of the same spot detected on a later transit within 10° for four rotational shear values from 0.01% (bottom panel) to 10% (top panel). The results of the 59 spots detected from transit crossing are plotted as red asterisks.

Current usage metrics show cumulative count of Article Views (full-text article views including HTML views, PDF and ePub downloads, according to the available data) and Abstracts Views on Vision4Press platform.

Data correspond to usage on the plateform after 2015. The current usage metrics is available 48-96 hours after online publication and is updated daily on week days.

Initial download of the metrics may take a while.