Open Access

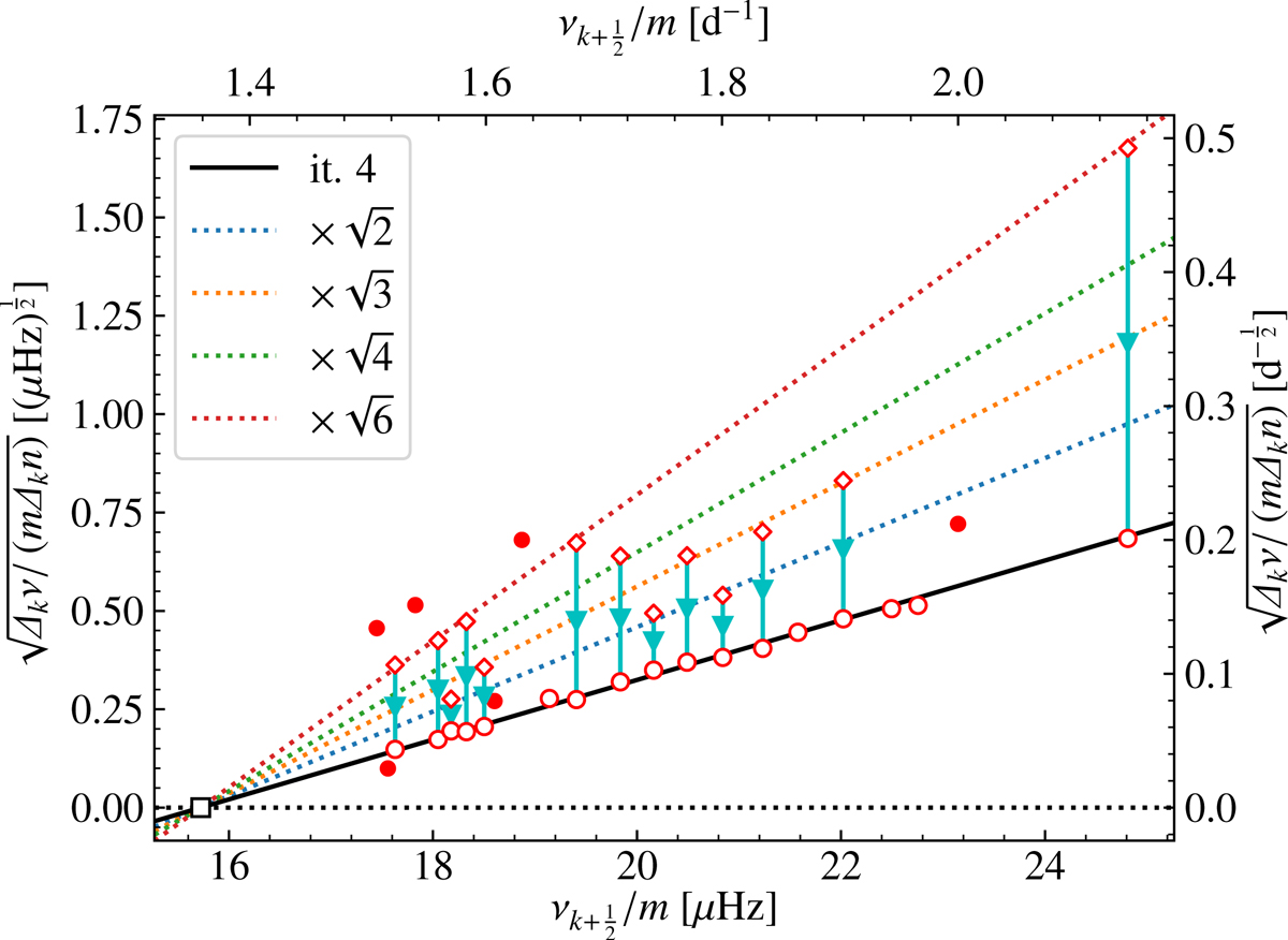
Fig. 13.

image

Diagram of ν versus for KIC 4846809. The frequencies between 17 μHz and 27 μHz are determined with the ECHO pipeline of Antoci et al. (2019). The converged estimates for the parameters are νrot = 15.7 ± 0.1 μHz (1.36 ± 0.01 d−1) and P0 = (5.8 ± 0.3)×103 s.

Current usage metrics show cumulative count of Article Views (full-text article views including HTML views, PDF and ePub downloads, according to the available data) and Abstracts Views on Vision4Press platform.

Data correspond to usage on the plateform after 2015. The current usage metrics is available 48-96 hours after online publication and is updated daily on week days.

Initial download of the metrics may take a while.