Open Access

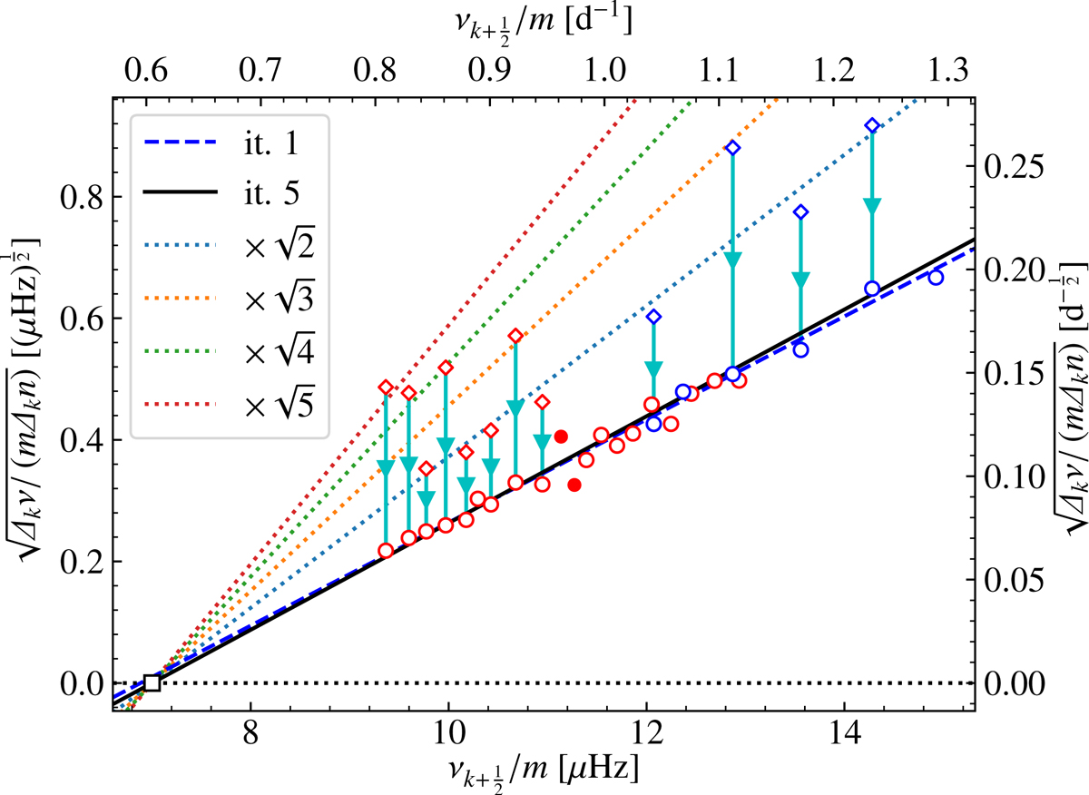
Fig. B.2.

image

Diagram of ν versus for KIC 3459297. The red and blue circles correspond to the frequencies in the first group (with m = 1) and the second group (with m = 2), respectively. The dashed and solid lines are the fitting results of all the modes in iterations 1 and 5, respectively. The two red filled circles are excluded from the fit.

Current usage metrics show cumulative count of Article Views (full-text article views including HTML views, PDF and ePub downloads, according to the available data) and Abstracts Views on Vision4Press platform.

Data correspond to usage on the plateform after 2015. The current usage metrics is available 48-96 hours after online publication and is updated daily on week days.

Initial download of the metrics may take a while.