Open Access

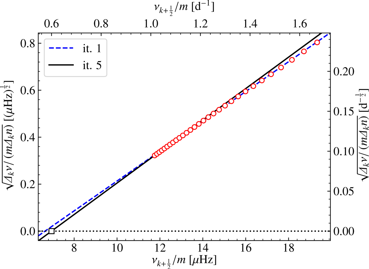
Fig. 2.

image

ν versus diagram for model (1) (Model A). Open circles describe the modes with an azimuthal order m = 1 and Δkn = 1, which implies consecutive radial orders. The blue dashed and black solid lines describe the output of iterations 1 and 5, respectively. The open square symbol shows the abscissa intercept with the solid line, which gives the converged estimate of the rotation frequency.

Current usage metrics show cumulative count of Article Views (full-text article views including HTML views, PDF and ePub downloads, according to the available data) and Abstracts Views on Vision4Press platform.

Data correspond to usage on the plateform after 2015. The current usage metrics is available 48-96 hours after online publication and is updated daily on week days.

Initial download of the metrics may take a while.