Open Access

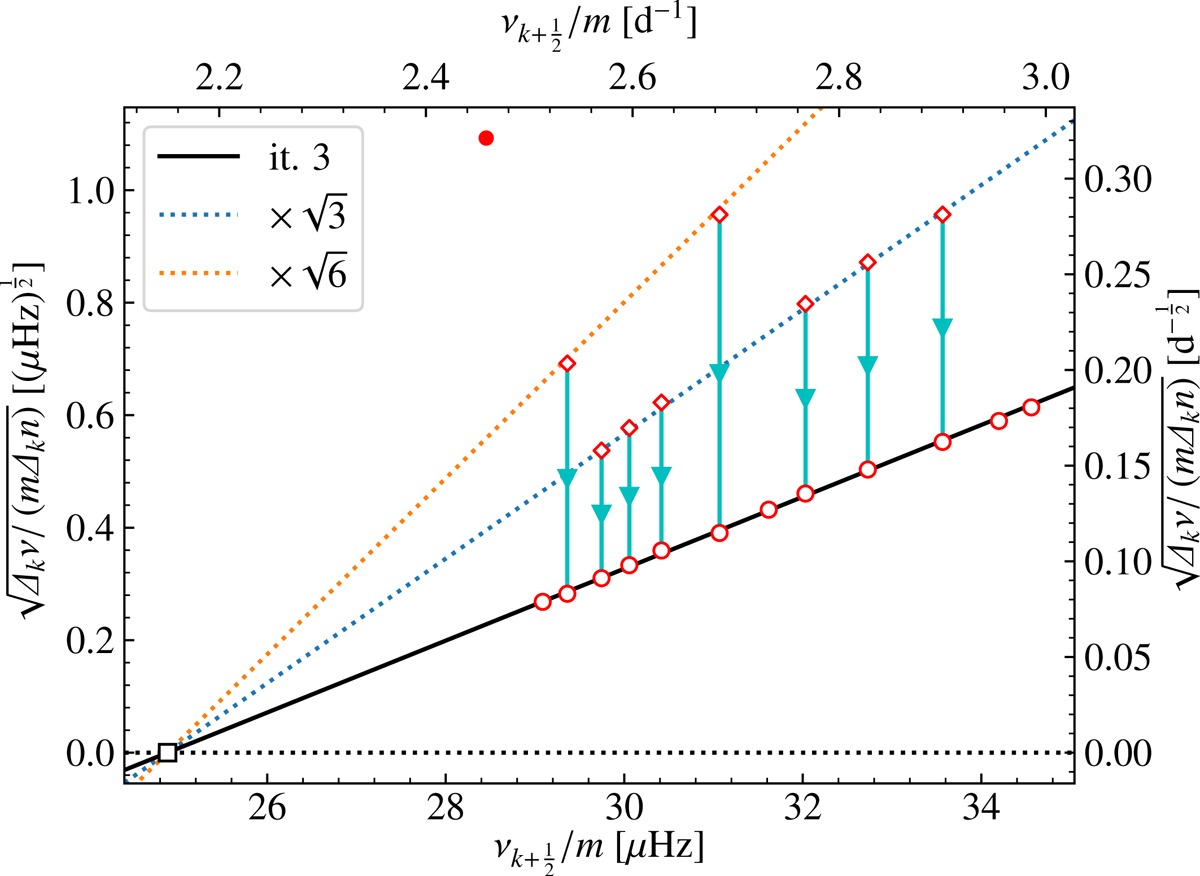
Fig. 6.

image

ν versus diagram for KIC 12066947. Here we used the frequencies between 27 μHz and 35 μHz which were already identified to be prograde sectoral g modes with m = 1.

Current usage metrics show cumulative count of Article Views (full-text article views including HTML views, PDF and ePub downloads, according to the available data) and Abstracts Views on Vision4Press platform.

Data correspond to usage on the plateform after 2015. The current usage metrics is available 48-96 hours after online publication and is updated daily on week days.

Initial download of the metrics may take a while.