Free Access

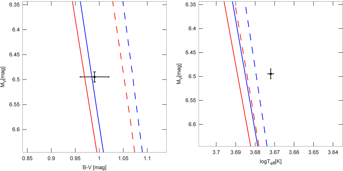
Fig. 1.

image

HD 219134 location on the colour-magnitude diagram (left panel) and on the log TeffMV diagram (right panel) together with some reference isochrones. Red stands for 1 Gyr models, while blue stands for 10 Gyr models; solid lines are representative of the nominal stellar metallicity (Z = 0.020 → [Fe/H] = 0.11); dashed lines refer to extremely super-solar metallicity Z = 0.070 → [Fe/H] = 0.66.

Current usage metrics show cumulative count of Article Views (full-text article views including HTML views, PDF and ePub downloads, according to the available data) and Abstracts Views on Vision4Press platform.

Data correspond to usage on the plateform after 2015. The current usage metrics is available 48-96 hours after online publication and is updated daily on week days.

Initial download of the metrics may take a while.