Free Access

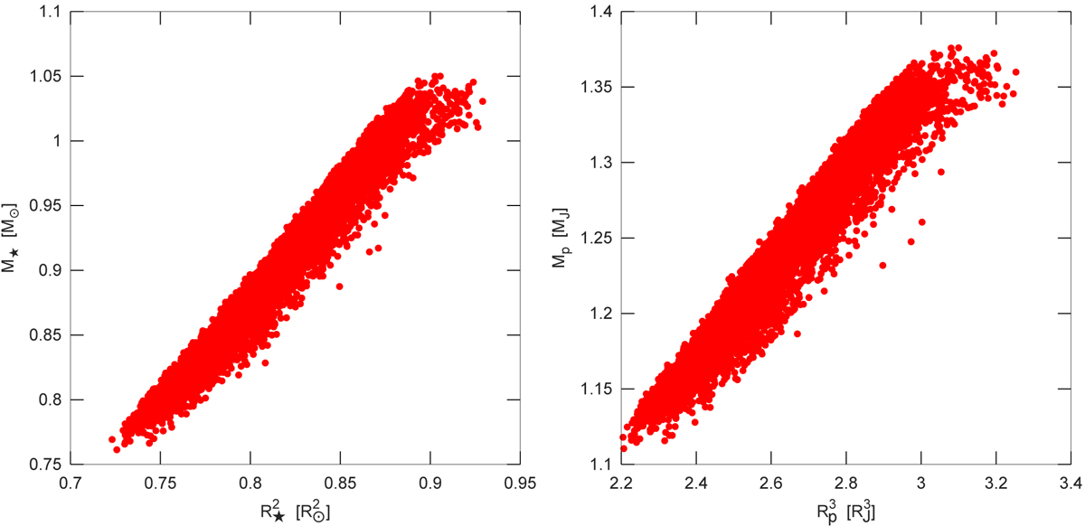
Fig. 5.

image

WASP-4: regression of M vs. (left panel), and of Mp vs. (right panel). A strong correlation is expected because ρ is constrained from the transit, and (Mp, Rp) are related to (M, R), transit parameters and the RV semi-amplitude.

Current usage metrics show cumulative count of Article Views (full-text article views including HTML views, PDF and ePub downloads, according to the available data) and Abstracts Views on Vision4Press platform.

Data correspond to usage on the plateform after 2015. The current usage metrics is available 48-96 hours after online publication and is updated daily on week days.

Initial download of the metrics may take a while.