Free Access

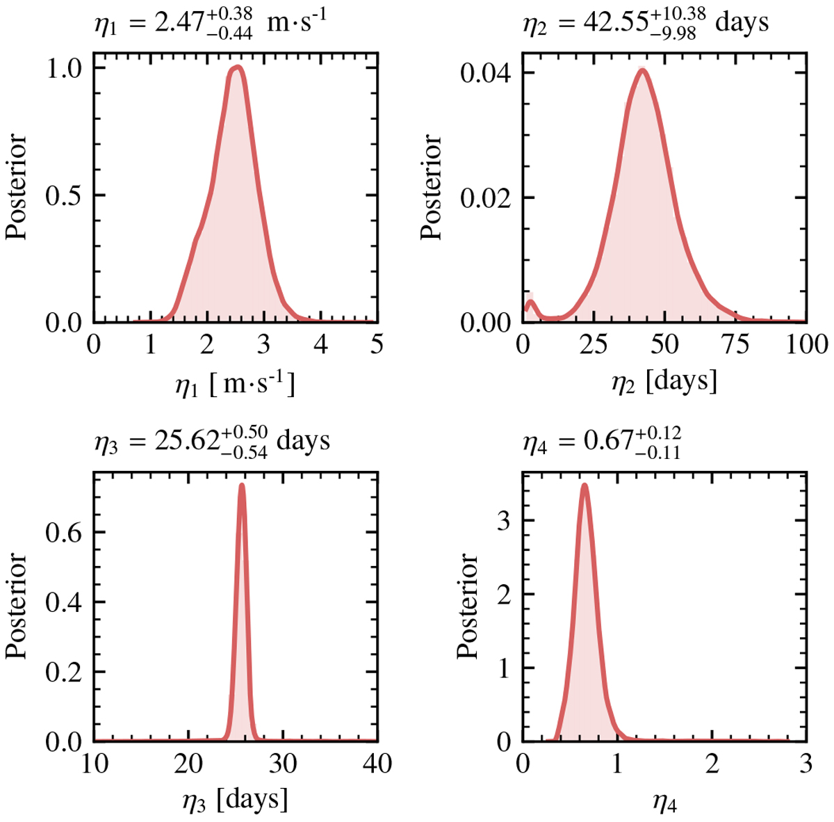
Fig. 6

image

Posterior probability densities for the GP hyperparameters within the model where Np is free. These distributions combine samples from the posterior for all values of Np. Each panel also indicates the median and 68% quartiles of the distribution.

Current usage metrics show cumulative count of Article Views (full-text article views including HTML views, PDF and ePub downloads, according to the available data) and Abstracts Views on Vision4Press platform.

Data correspond to usage on the plateform after 2015. The current usage metrics is available 48-96 hours after online publication and is updated daily on week days.

Initial download of the metrics may take a while.