Free Access

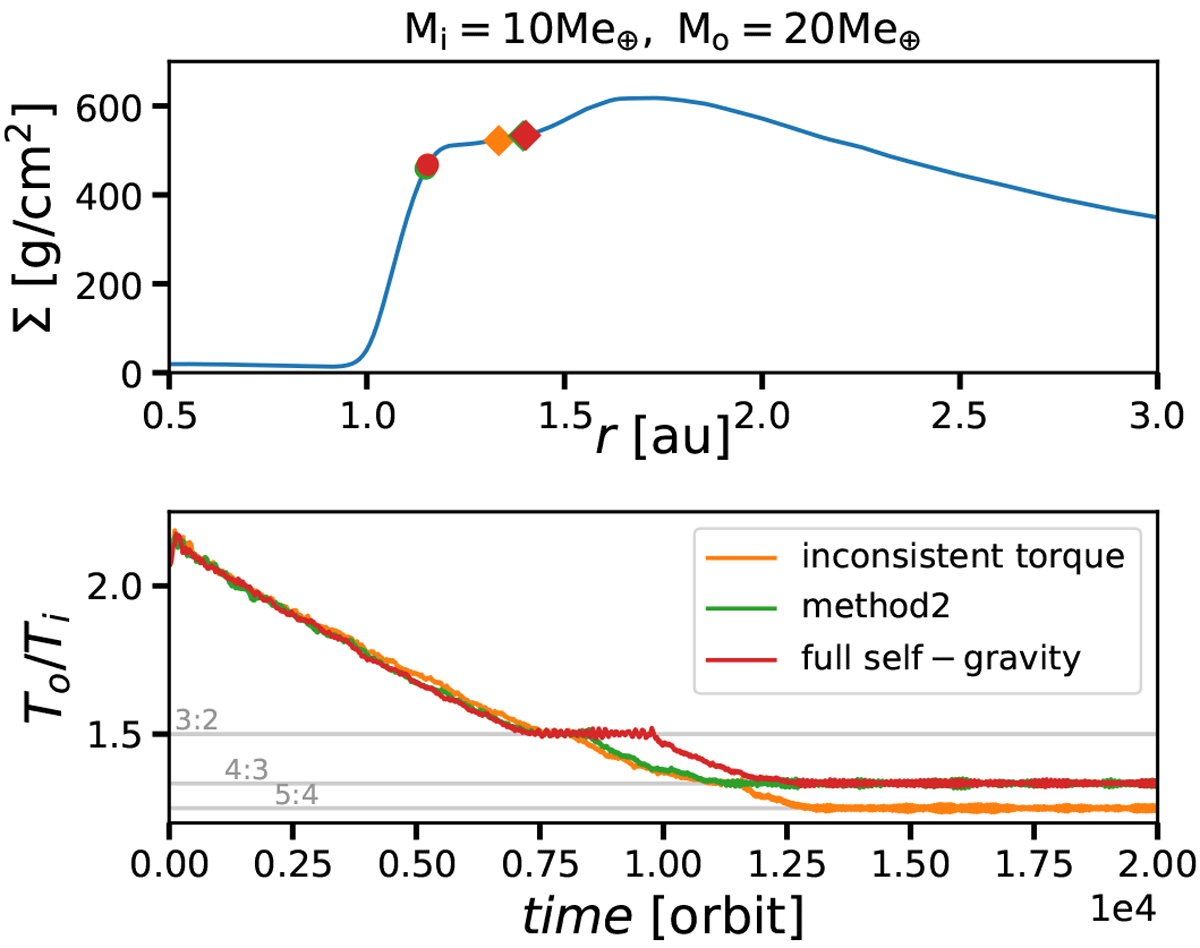
Fig. 5

image

Resonant capture of two planets (with 10 and 20 MEarth) at a planet trap located at 1 au obtained by hydrodynamical simulations. Orange, green, and red refer to the simulations with inconsistent, corrected, and full self-gravitating torques, respectively. Upper panel: final surface density and planet positions. Lower panel: time evolution of the period ratio (outer to inner planet) of the two planets.

Current usage metrics show cumulative count of Article Views (full-text article views including HTML views, PDF and ePub downloads, according to the available data) and Abstracts Views on Vision4Press platform.

Data correspond to usage on the plateform after 2015. The current usage metrics is available 48-96 hours after online publication and is updated daily on week days.

Initial download of the metrics may take a while.