Open Access

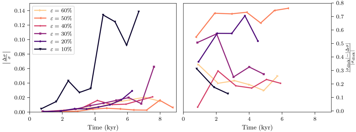
Fig. B.1

image

Analysis of numerical errors in the simulations with different levels of perturbations ε, without sinkparticle. The legend is the same for both panels. To improve visibility, the results have been smoothed. Left: relative difference between σnum and σan. Right: relative difference between the momentum in the disk and . We only calculated the momentum in the disk when the disk is not fragmented. The simulation with 10% of perturbations shows a non negligible amount of numerical errors, whereas all of the other simulations can be trusted.

Current usage metrics show cumulative count of Article Views (full-text article views including HTML views, PDF and ePub downloads, according to the available data) and Abstracts Views on Vision4Press platform.

Data correspond to usage on the plateform after 2015. The current usage metrics is available 48-96 hours after online publication and is updated daily on week days.

Initial download of the metrics may take a while.