Free Access

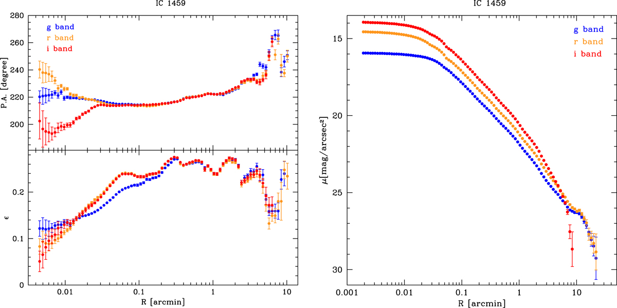
Fig. 3.

image

Results from the isophotal analysis for IC 1459. Ellipticity and position angle radial profiles are shown in the left lower and upper panel, respectively. The azimuthally averaged and PSF-deconvolved surface-brightness radial profile of IC 1459 is plotted in the right panel.

Current usage metrics show cumulative count of Article Views (full-text article views including HTML views, PDF and ePub downloads, according to the available data) and Abstracts Views on Vision4Press platform.

Data correspond to usage on the plateform after 2015. The current usage metrics is available 48-96 hours after online publication and is updated daily on week days.

Initial download of the metrics may take a while.