Free Access

Fig. 14.

image

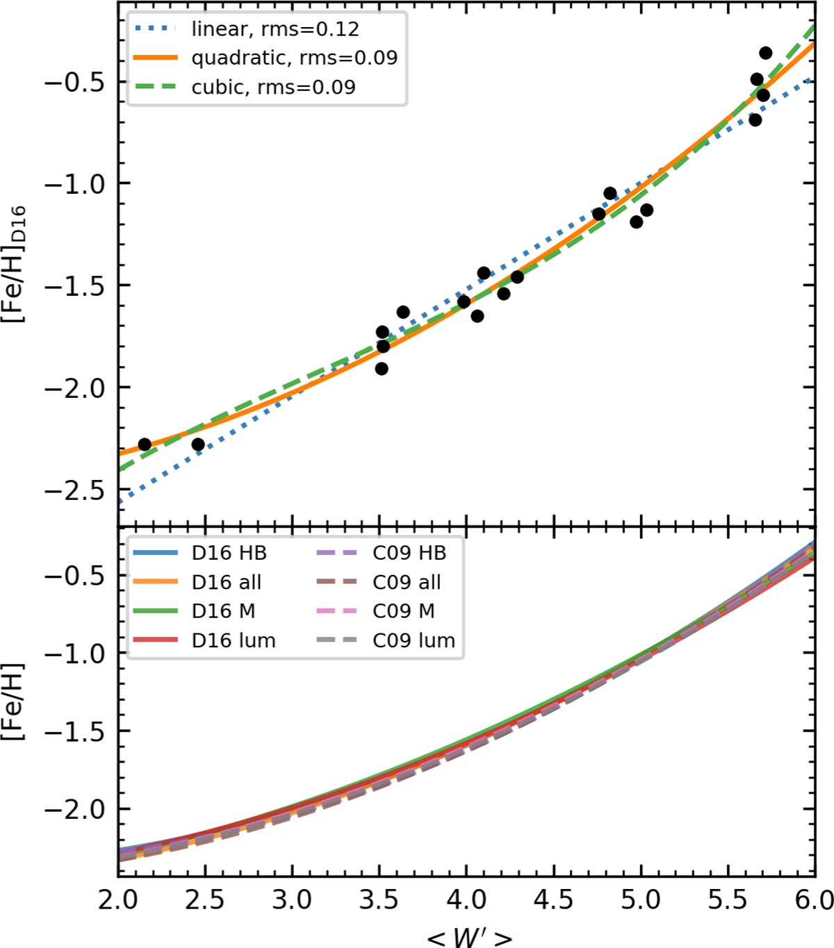
Upper panel: the metallicity from the literature (Dias et al. 2016) is plotted over the mean reduced equivalent width of each cluster, derived from the quadratic relation on all RGB stars based on V − VHB. Three polynomials of different degree are fitted to the data and the rms for each is given in the legend. Lower panel: quadratic fits to three more calibrations using the same metallicity scale (only brighter than HB, and based on M and L) are provided for comparison, together with all four on a different metallicity scale (C09, from Carretta et al. 2009a).

Current usage metrics show cumulative count of Article Views (full-text article views including HTML views, PDF and ePub downloads, according to the available data) and Abstracts Views on Vision4Press platform.

Data correspond to usage on the plateform after 2015. The current usage metrics is available 48-96 hours after online publication and is updated daily on week days.

Initial download of the metrics may take a while.