Free Access

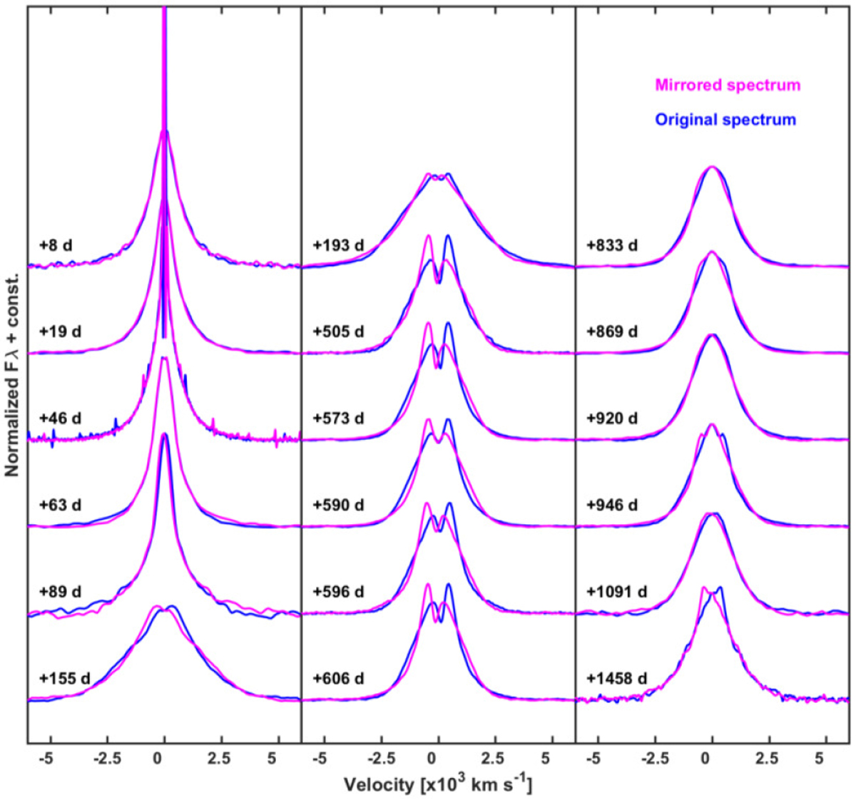
Fig. 13

image

Hα profiles at selected epochs, redshifted to the line rest wavelength (blue) and mirrored with respect to the computed centroids (magenta). Lines show highly symmetric profiles, with blue and red wings overlapping almost perfectly at all phases. Small asymmetries in the top part of the lines are due to the presence of the narrow P Cygni features, more evident in the higher resolution spectra. Phases refer to the estimated epoch of the explosion.

Current usage metrics show cumulative count of Article Views (full-text article views including HTML views, PDF and ePub downloads, according to the available data) and Abstracts Views on Vision4Press platform.

Data correspond to usage on the plateform after 2015. The current usage metrics is available 48-96 hours after online publication and is updated daily on week days.

Initial download of the metrics may take a while.