Free Access

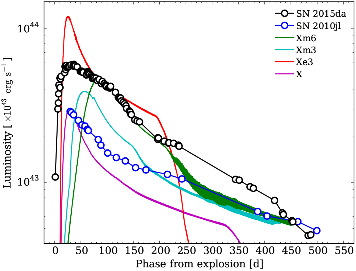
Fig. 8

image

Bolometric light curve of SN 2015da compared to models presented in Dessart et al. (2015) and bolometric light curve of SN 2010jl (computed as in Fransson et al. 2014). Model X has = 0.1 M yr−1, model Xm3 = 0.3 M yr−1, and model Xm6 = 0.6 M yr−1. In all cases, the total energy is 1051 erg. Model Xe3 has = 0.1 M yr−1 and total energy 3 × 1051 erg.

Current usage metrics show cumulative count of Article Views (full-text article views including HTML views, PDF and ePub downloads, according to the available data) and Abstracts Views on Vision4Press platform.

Data correspond to usage on the plateform after 2015. The current usage metrics is available 48-96 hours after online publication and is updated daily on week days.

Initial download of the metrics may take a while.