Open Access

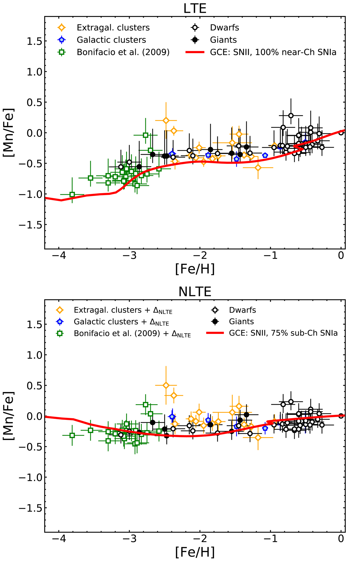
Fig. 2.

image

Manganese abundance ratios as a function of metallicity. Top panel: LTE data presented with different symbols; the line shows the results of the GCE model with yield for SNe II taken from Woosley & Weaver (1995), including only near-Mch SNe Ia with by Iwamoto et al. (1999). Bottom panel: NLTE data. The GCE model presented here adopts the yields by Kobayashi et al. (2011) for SNe II and includes 25% of near-Mch and 75% of sub-Mch SNe Ia.

Current usage metrics show cumulative count of Article Views (full-text article views including HTML views, PDF and ePub downloads, according to the available data) and Abstracts Views on Vision4Press platform.

Data correspond to usage on the plateform after 2015. The current usage metrics is available 48-96 hours after online publication and is updated daily on week days.

Initial download of the metrics may take a while.