Open Access

Fig. A.1

image

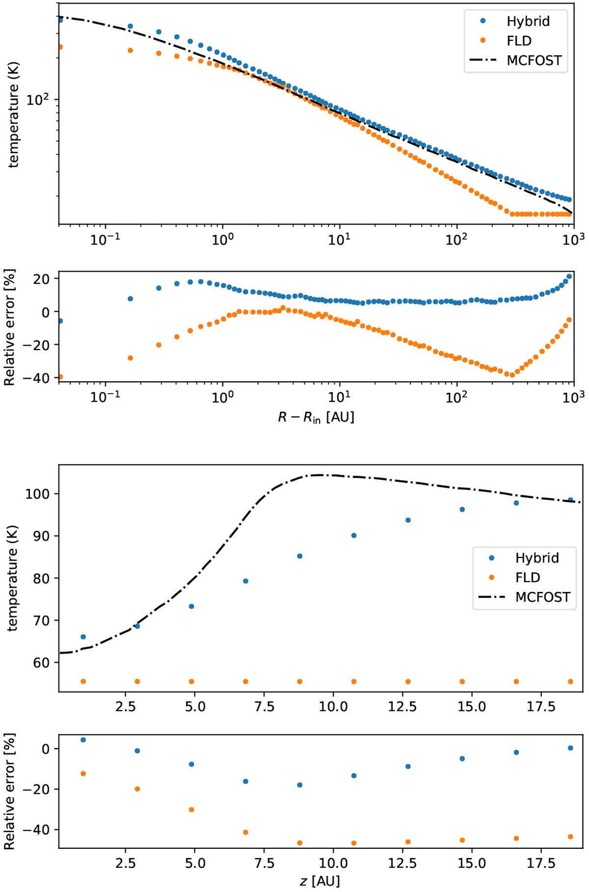
Gas temperature profiles, following the test of Pascucci et al. (2004). We compare the gas temperature computed using MCFOST, the hybrid method (M1+FLD) and the FLD method alone in RAMSES, with isotropic scattering. T = 5800 K and the integrated optical depth in the disk mid-plane is τ = 100. Top: radial profile in the disk mid-plane. Bottom: vertical profile at a disk radius of 20 AU.

Current usage metrics show cumulative count of Article Views (full-text article views including HTML views, PDF and ePub downloads, according to the available data) and Abstracts Views on Vision4Press platform.

Data correspond to usage on the plateform after 2015. The current usage metrics is available 48-96 hours after online publication and is updated daily on week days.

Initial download of the metrics may take a while.