Open Access

Fig. 8

image

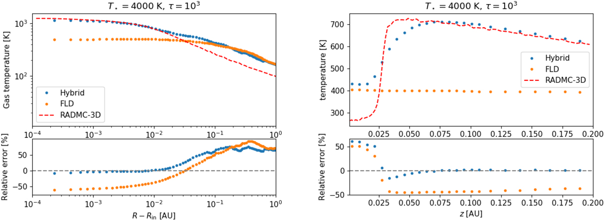
Left: radial gas temperature profile in the mid-plane of the disk following the test of Pinte et al. (2009). Right: vertical gas temperature profile at a cylindrical radius of 0.2 AU in the disk. We compare the gas temperature computed using  RADMC-3D, the hybrid method (M1+FLD) and the FLD method alone in RAMSES. The integrated optical depth in the disk mid-plane is τ810 nm = 103 and the stellar temperature is T = 4000 K.

Current usage metrics show cumulative count of Article Views (full-text article views including HTML views, PDF and ePub downloads, according to the available data) and Abstracts Views on Vision4Press platform.

Data correspond to usage on the plateform after 2015. The current usage metrics is available 48-96 hours after online publication and is updated daily on week days.

Initial download of the metrics may take a while.