Free Access

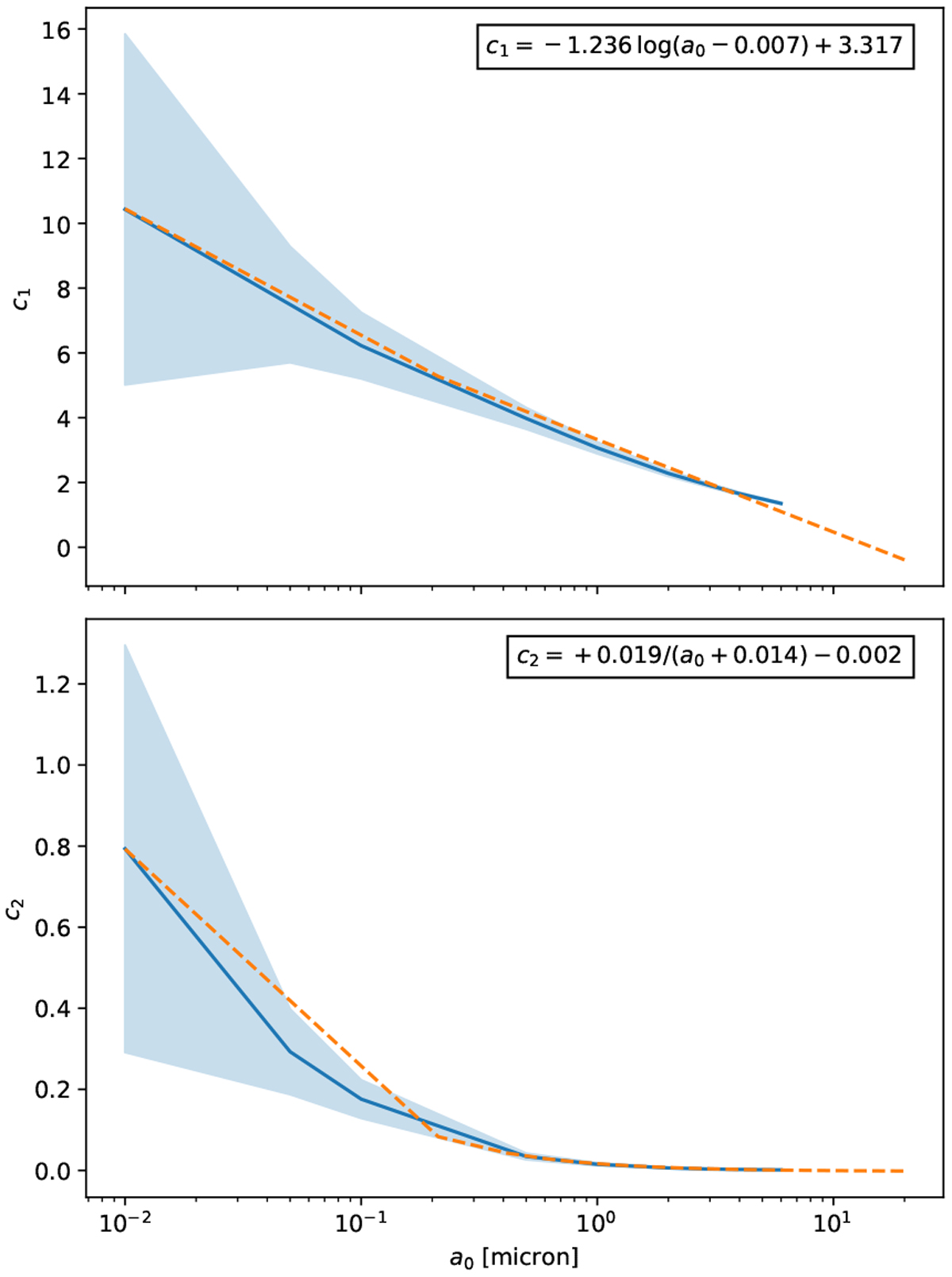
Fig. 9

image

Fit parameters for all fits for as a functionof a0 in blue, with 3σ-errors included as shaded regions. Non-physical fits to these fit parameter curves in orange, with the parameterizations given in the text boxes.

Current usage metrics show cumulative count of Article Views (full-text article views including HTML views, PDF and ePub downloads, according to the available data) and Abstracts Views on Vision4Press platform.

Data correspond to usage on the plateform after 2015. The current usage metrics is available 48-96 hours after online publication and is updated daily on week days.

Initial download of the metrics may take a while.