Free Access

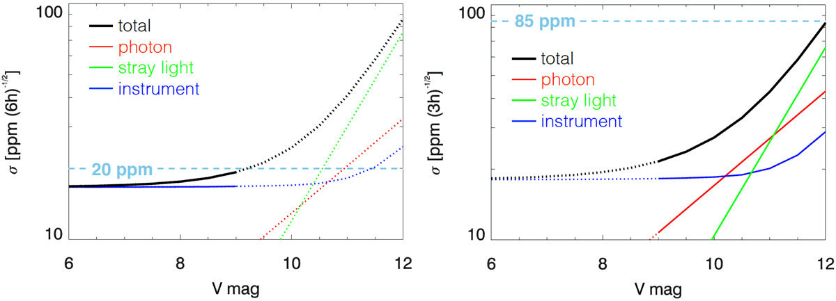
Fig. 1.

image

Expected photometric performance of CHEOPS. Left panel: for bright stars (here assumed to be G-type stars with an effective temperature of 5500 K and apparent magnitude 6 ≤ V <  9), the rms of the light curve residuals is required to be less than 20 ppm in six hours of integration, limited mainly by instrumental noise. Right panel: for faint stars (here assumed to be K-type stars with an effective temperature of 4500 K and apparent magnitude 9 ≤ V ≤ 12), the rms of the light curve residuals is required to be less than 85 ppm in three hours of integration, dominated by instrument noise for 9 ≤ V <  10, by photon noise for 10 ≤ V <  11 and by stray light for V ≥ 11. We note that unlike photon noise, instrument noise does not scale quadratically with the integration time.

Current usage metrics show cumulative count of Article Views (full-text article views including HTML views, PDF and ePub downloads, according to the available data) and Abstracts Views on Vision4Press platform.

Data correspond to usage on the plateform after 2015. The current usage metrics is available 48-96 hours after online publication and is updated daily on week days.

Initial download of the metrics may take a while.