Free Access

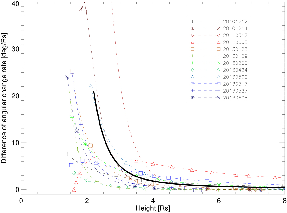
Fig. 7.

image

Difference between the fit height change rate of the angular widths in the lateral direction and in the axial direction for each event (dashed lines, see the legend). The black solid line is the average curve, starting at the first height where all events could be measured. The symbols here only indicate the location over the curves where the event was measured. The curve corresponding to 20110317 exceeds the scale and has been intentionally cut off.

Current usage metrics show cumulative count of Article Views (full-text article views including HTML views, PDF and ePub downloads, according to the available data) and Abstracts Views on Vision4Press platform.

Data correspond to usage on the plateform after 2015. The current usage metrics is available 48-96 hours after online publication and is updated daily on week days.

Initial download of the metrics may take a while.