Open Access

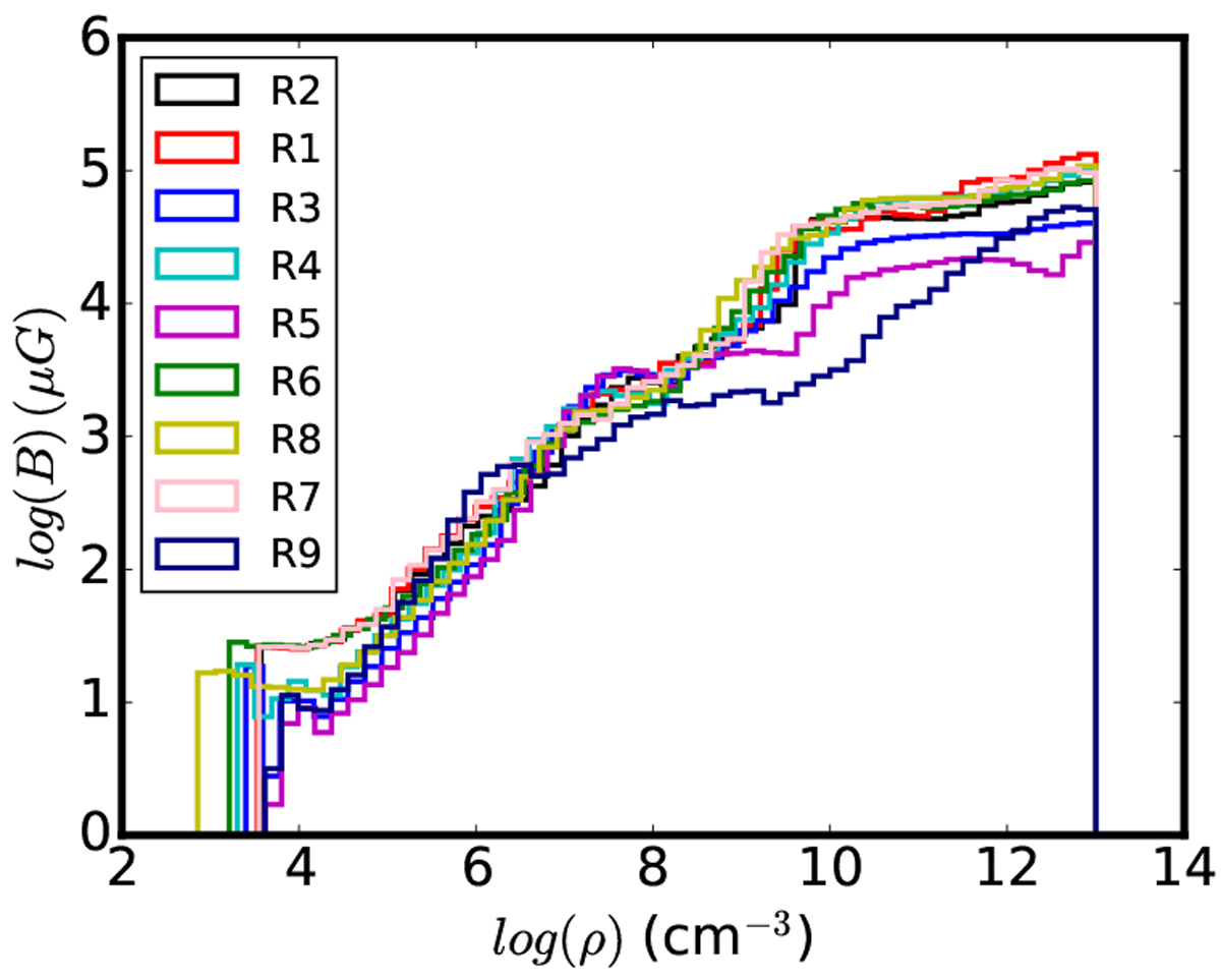
Fig. 12

image

Mean magnetic intensity as a function of density within the 9 runs. Apart from runs R3, R5, and R9, which all have μ−1 < 0.1, i.e. a very low field initially, the distribution of the magnetic intensity is remarkably similar for all runs.

Current usage metrics show cumulative count of Article Views (full-text article views including HTML views, PDF and ePub downloads, according to the available data) and Abstracts Views on Vision4Press platform.

Data correspond to usage on the plateform after 2015. The current usage metrics is available 48-96 hours after online publication and is updated daily on week days.

Initial download of the metrics may take a while.