Free Access

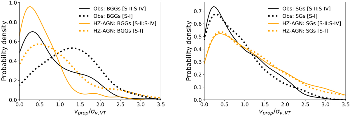
Fig. 4.

image

Distributions of the ratio of the line-of-sight velocity to the group velocity dispersion for BGG (left) and satellite (right) (vprop/σv, VT), for the S-I (dotted lines) and combined S-II to S-IV samples (solid lines) in COSMOS (black) and HORIZON-AGN (orange). We find no significant redshift evolution of the distribution in both observations and simulation, thus the sub-samples S-II to S-IV are combined here. The distribution for BGGs in low mass groups at z <  0.4 suggest they are in relatively dynamically unrelaxed systems.

Current usage metrics show cumulative count of Article Views (full-text article views including HTML views, PDF and ePub downloads, according to the available data) and Abstracts Views on Vision4Press platform.

Data correspond to usage on the plateform after 2015. The current usage metrics is available 48-96 hours after online publication and is updated daily on week days.

Initial download of the metrics may take a while.