Free Access

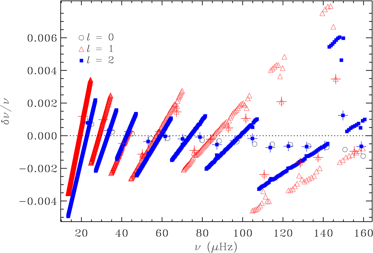
Fig. 11.

image

Relative differences in computed frequencies for the solar-calibrated MESA 1.5 M, 7 R model with suitable shifts in mode order (see text), compared with the ASTEC results, in the sense (MESA) – (ASTEC), for l = 0 (black open circles), l = 1 (red open triangles) and l = 2 (blue filled squares). The larger pluses mark the p-dominated modes. The horizontal dotted line indicates zero difference.

Current usage metrics show cumulative count of Article Views (full-text article views including HTML views, PDF and ePub downloads, according to the available data) and Abstracts Views on Vision4Press platform.

Data correspond to usage on the plateform after 2015. The current usage metrics is available 48-96 hours after online publication and is updated daily on week days.

Initial download of the metrics may take a while.