Free Access

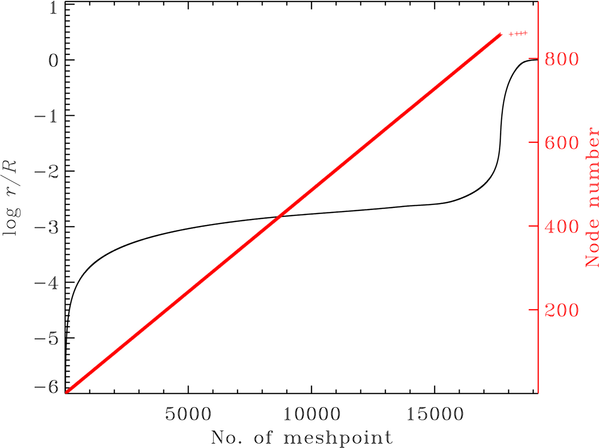
Fig. A.1.

image

Properties of the mesh used for the oscillation calculation in the 1.0 M, 12 R case. The solid black line shows the logarithm of the fractional radius, against the mesh-point number (left ordinate scale). The red crosses show the nodes in the horizontal-displacement eigenfunction in a dipolar mode with frequency 20.0 μHz (right ordinate scale).

Current usage metrics show cumulative count of Article Views (full-text article views including HTML views, PDF and ePub downloads, according to the available data) and Abstracts Views on Vision4Press platform.

Data correspond to usage on the plateform after 2015. The current usage metrics is available 48-96 hours after online publication and is updated daily on week days.

Initial download of the metrics may take a while.