Free Access

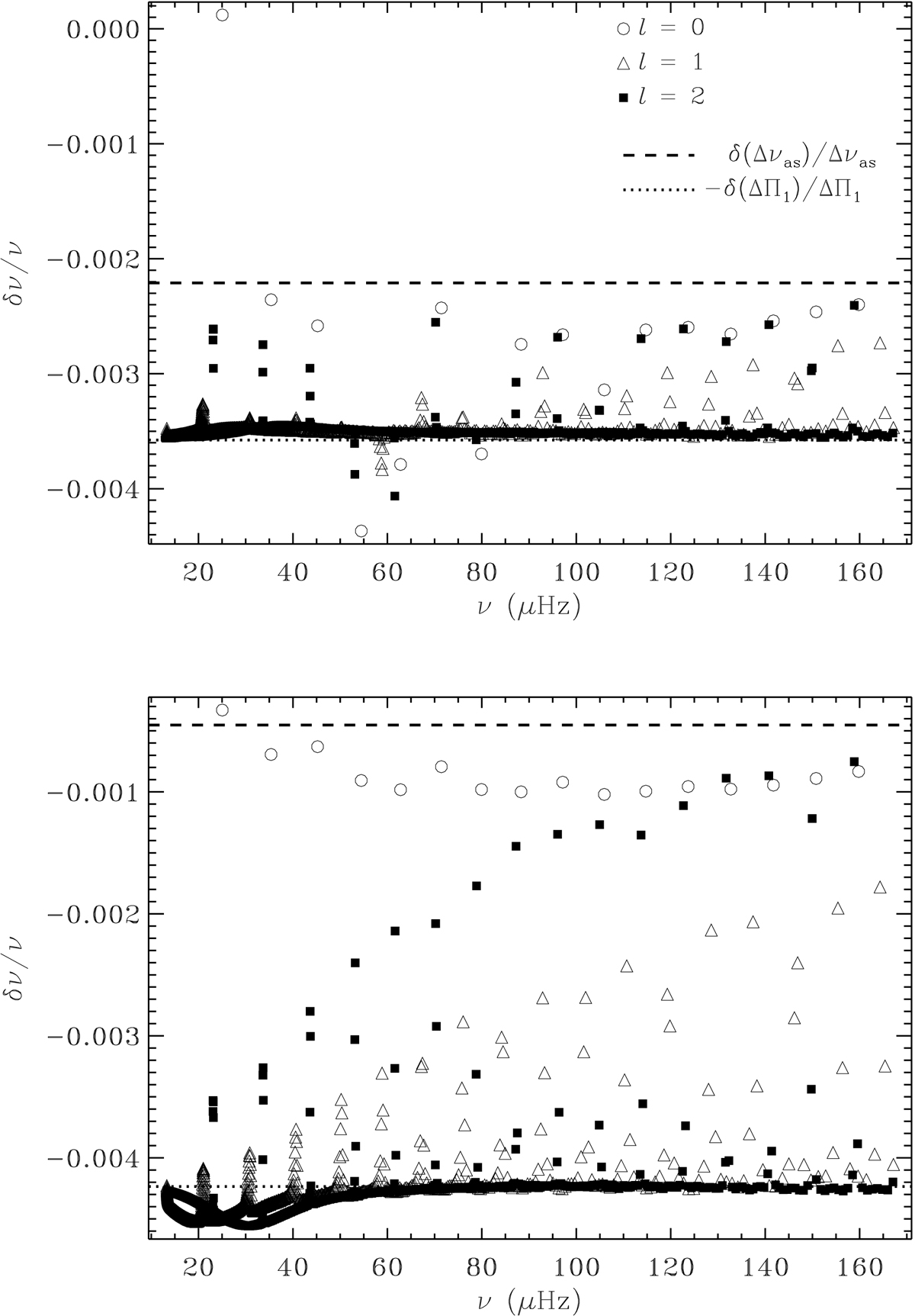
Fig. E.1.

image

Relative differences in computed frequencies for the GARSTEC 1.5 M, 7 R solar-calibrated models, compared with the ASTEC results, in the sense (GARSTEC) – (ASTEC). Top panel: results for the original GARSTEC model, and bottom panel: revised model, with updated treatment of the equation of state. The differences are evaluated at fixed radial order.

Current usage metrics show cumulative count of Article Views (full-text article views including HTML views, PDF and ePub downloads, according to the available data) and Abstracts Views on Vision4Press platform.

Data correspond to usage on the plateform after 2015. The current usage metrics is available 48-96 hours after online publication and is updated daily on week days.

Initial download of the metrics may take a while.