Free Access

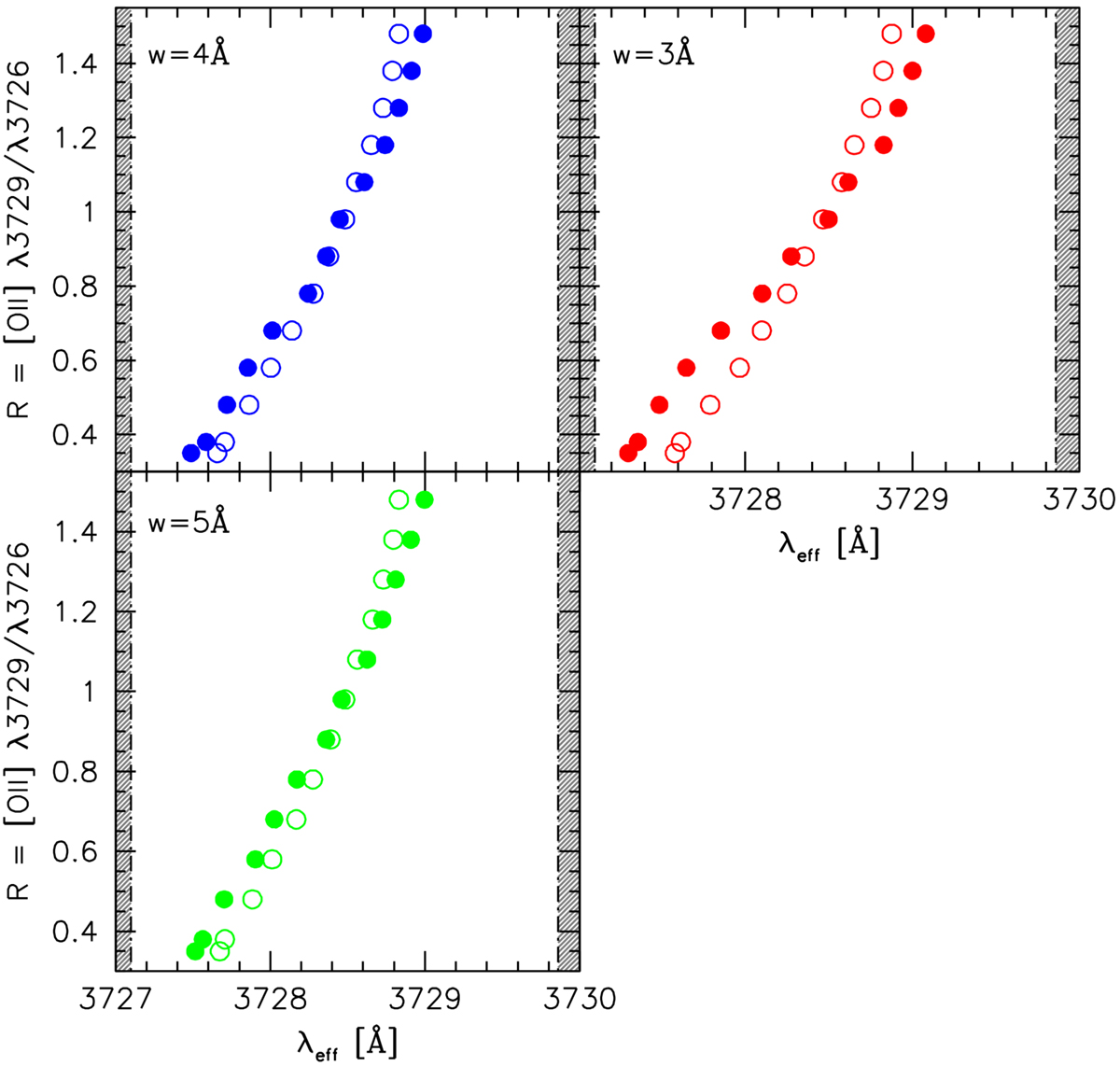
Fig. B.1.

image

ℛ[OII] as a function of the [O II]λλ3726,3729 doublet effective wavelength λeff for an unresolved mock doublet of FWHM 3, 4 and 5 Å. In each panel the open circles refer to Gaussian fits from the line base, and filled circles refer to Gaussian fits from half peak intensity. The vertical dot-dashed lines mark the position of the individual component of the [O II] doublet.

Current usage metrics show cumulative count of Article Views (full-text article views including HTML views, PDF and ePub downloads, according to the available data) and Abstracts Views on Vision4Press platform.

Data correspond to usage on the plateform after 2015. The current usage metrics is available 48-96 hours after online publication and is updated daily on week days.

Initial download of the metrics may take a while.