Free Access

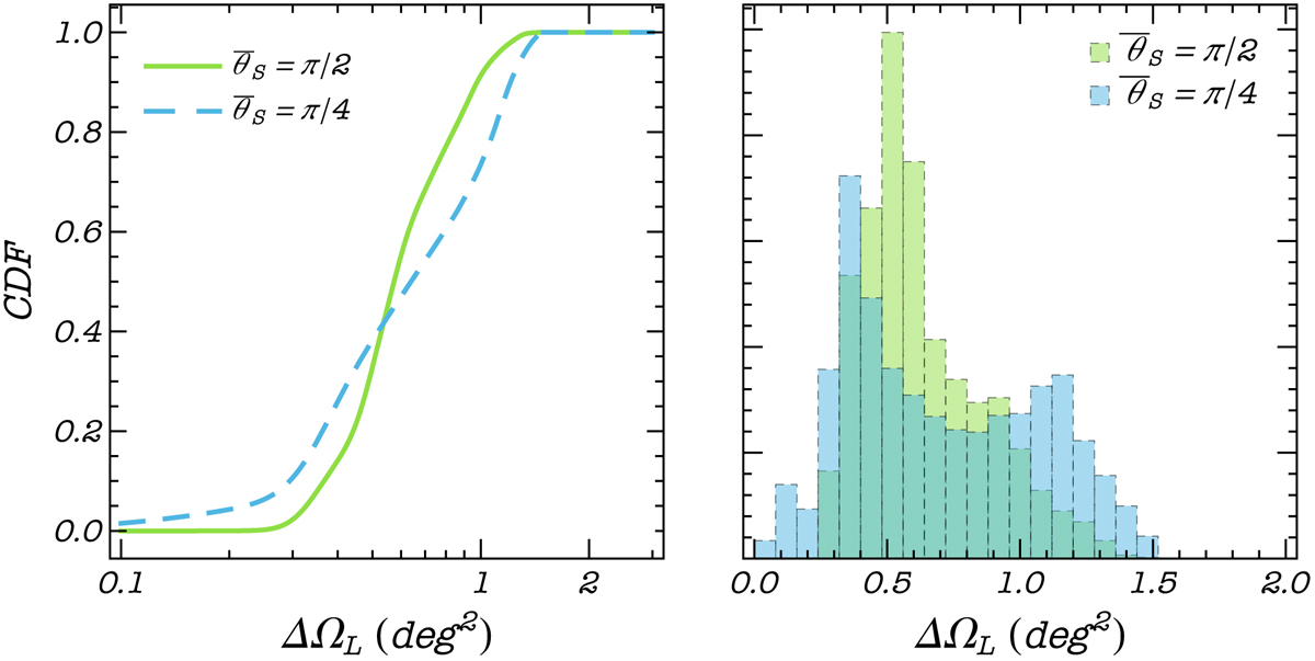
Fig. 4.

image

Cumulative (left panel) and histogram (right panel) distribution of the 1-σ errors on the solid angle ΩL derived from the ensemble of n = 104 binary white dwarf with angular momentum randomly oriented and specific configurations of . Sources are observed by DECIGO at d = 100 Mpc.

Current usage metrics show cumulative count of Article Views (full-text article views including HTML views, PDF and ePub downloads, according to the available data) and Abstracts Views on Vision4Press platform.

Data correspond to usage on the plateform after 2015. The current usage metrics is available 48-96 hours after online publication and is updated daily on week days.

Initial download of the metrics may take a while.