Open Access

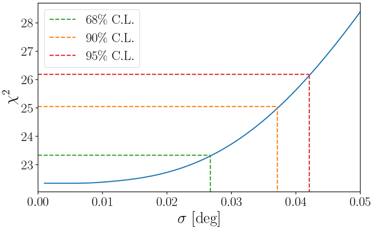
Fig. B.3

image

Scan of an additional extension of the Crab Nebula angular profile above 10 TeV photon energy above the MC predicted PSF. The Y -axis gives the resulting χ2 value of the fit with 16 degrees of freedom. The extension is expressed as the σ of the additional Gaussian component. The maximum allowed extension provides the measure of the remaining MAGIC mispointing.

Current usage metrics show cumulative count of Article Views (full-text article views including HTML views, PDF and ePub downloads, according to the available data) and Abstracts Views on Vision4Press platform.

Data correspond to usage on the plateform after 2015. The current usage metrics is available 48-96 hours after online publication and is updated daily on week days.

Initial download of the metrics may take a while.