Open Access

Fig. B.6

image

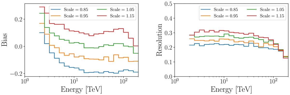
Left: bias in the VLZA energy estimation computed for different scaling values of the MAGIC light throughput system. It is estimated as the mean of the Gaussian distribution of the estimated MC energies and is given relative to the assumed true energy in the simulation. Right: VLZA relative energy resolution for different scaling values of the MAGIC light throughput system computed as the sigma of the Gaussian distribution of the estimated MC energies.

Current usage metrics show cumulative count of Article Views (full-text article views including HTML views, PDF and ePub downloads, according to the available data) and Abstracts Views on Vision4Press platform.

Data correspond to usage on the plateform after 2015. The current usage metrics is available 48-96 hours after online publication and is updated daily on week days.

Initial download of the metrics may take a while.