Open Access

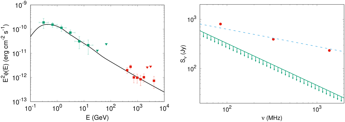
Fig. 4.

image

Left: gamma-ray differential energy spectrum of the northeastern MC (J1801-233). Fermi-LAT and HESS data have been fitted with a hadronic model (see Aharonian et al. 2008; Abdo et al. 2010, for references). Right: synchrotron emission spectrum observed from the entire SNR (Kovalenko et al. 1994; Dubner et al. 2000). A fit to data is shown as a dashed line. The maximum contribution from the northeastern cloud is also shown (see text for details).

Current usage metrics show cumulative count of Article Views (full-text article views including HTML views, PDF and ePub downloads, according to the available data) and Abstracts Views on Vision4Press platform.

Data correspond to usage on the plateform after 2015. The current usage metrics is available 48-96 hours after online publication and is updated daily on week days.

Initial download of the metrics may take a while.