Open Access

Fig. 4.

image

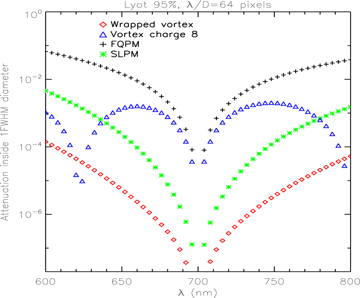
Numerical simulations: Coronagraphic attenuation integrated inside a disk of 1 λ/D-diameter centered on the optical axis for a four quadrant phase mask (black plus), a vortex phase mask of topological charge 8 (blue triangle), a six-level phase mask (green stars), and a wrapped-vortex phase mask defined by Eq. (10) (red diamond).

Current usage metrics show cumulative count of Article Views (full-text article views including HTML views, PDF and ePub downloads, according to the available data) and Abstracts Views on Vision4Press platform.

Data correspond to usage on the plateform after 2015. The current usage metrics is available 48-96 hours after online publication and is updated daily on week days.

Initial download of the metrics may take a while.