Open Access

Fig. 2.

image

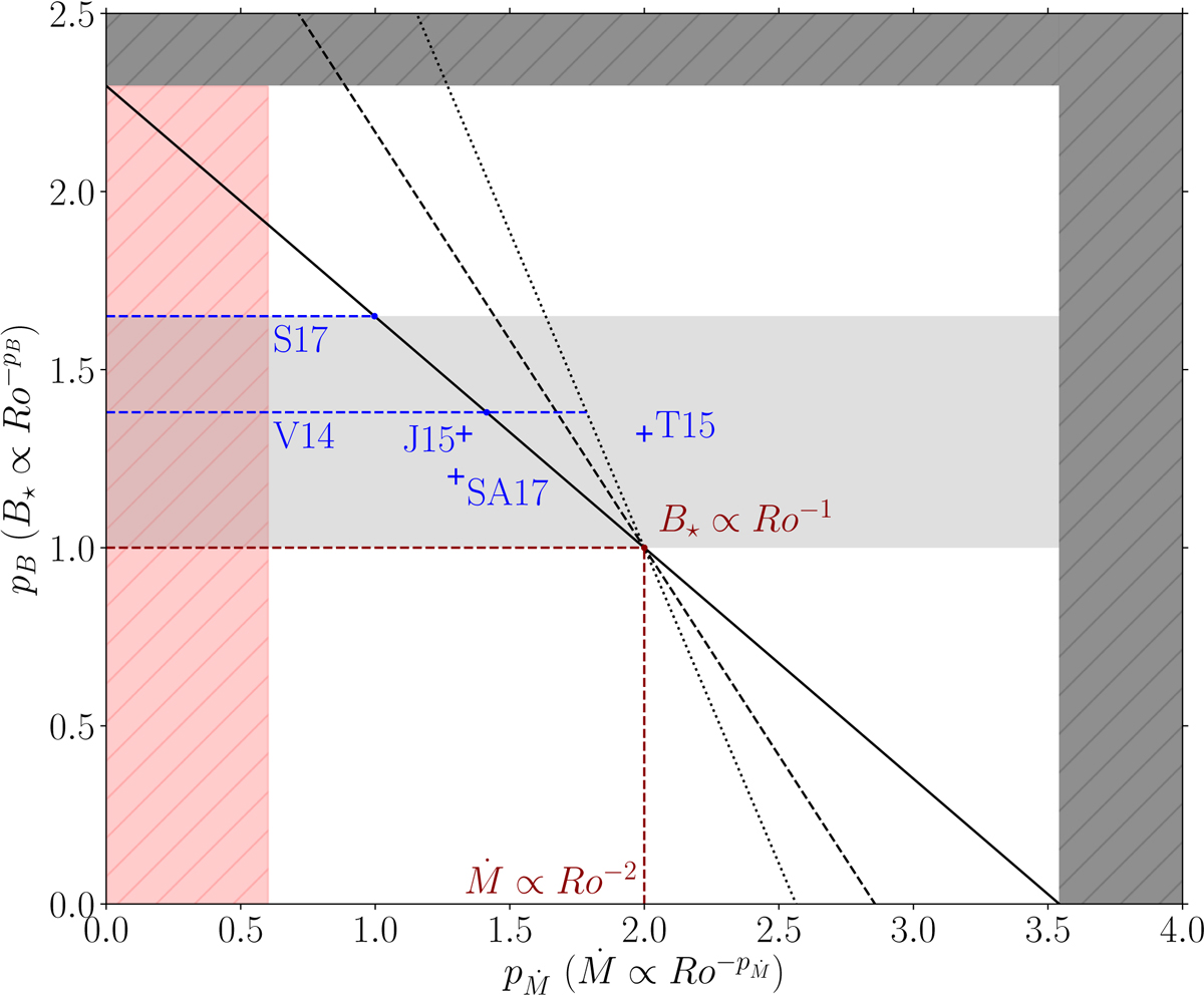
Correlation pBp for a dipolar (solid black line), a quadrupolar (dashed black line), and an octupolar (dotted black line) topology in the unsaturated regime. Dashed blue lines: magnetic field prescriptions from See et al. (2017, S17) and Vidotto et al. (2014, V14). Blue crosses: magnetic field and mass loss prescriptions from Johnstone et al. (2015a, J15), Tu et al. (2015, T15), and Sadeghi Ardestani et al. (2017, SA17). In dark gray: excluded region in the dipolar case. Dashed dark red lines: prescriptions compatible with the Skumanich law for any magnetic topology. In light red: exponents corresponding to mass losses outside the envelope of Wood et al. (2005) data. The light gray band corresponds to the upper and lower bounds from Zeeman-Doppler imaging (ZDI) statistical studies (see Sect. 3.4 for more details).

Current usage metrics show cumulative count of Article Views (full-text article views including HTML views, PDF and ePub downloads, according to the available data) and Abstracts Views on Vision4Press platform.

Data correspond to usage on the plateform after 2015. The current usage metrics is available 48-96 hours after online publication and is updated daily on week days.

Initial download of the metrics may take a while.