Free Access

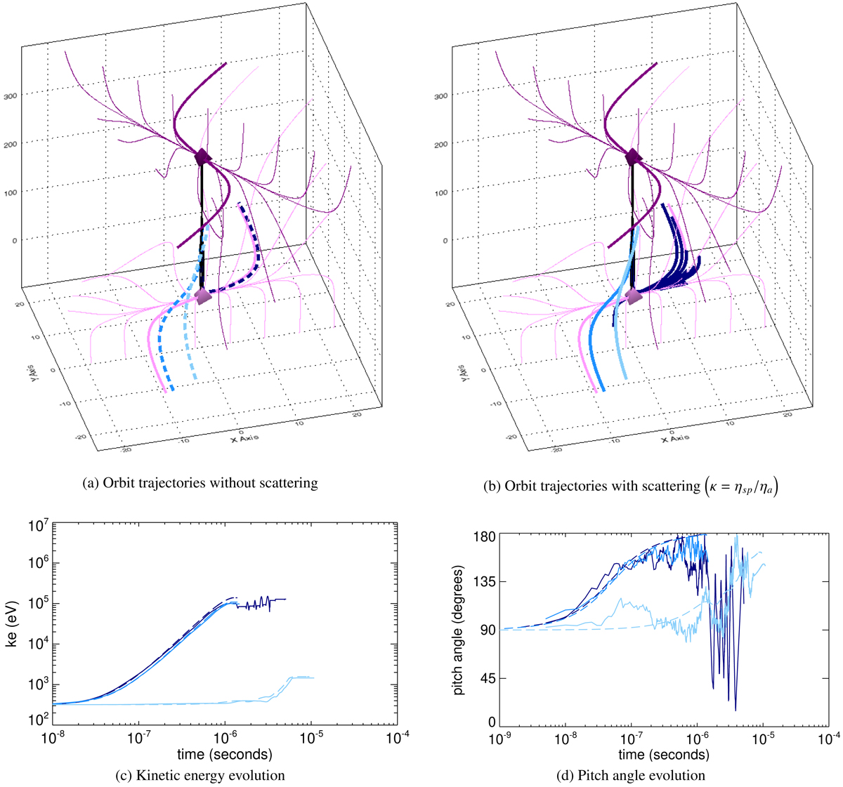
Fig. 2.

image

Comparison of orbit trajectories and properties when scattering is included or omitted. Trajectories which (panel a) omit or (panel b) include scattering for three cases initialised at different radial distances along the midplane of the separator (x0 = 0.01, 0.1, 1  m seen as dark blue, blue and light blue lines respectively) are overlaid with topological features of the MHD simulation (for key see Fig. 1). Panel c: evolution of kinetic energy of each of the orbits, while panel d: pitch angle evolution over time; cases which include scattering are shown as solid lines, while those which omit scattering are shown using dashed lines.

Current usage metrics show cumulative count of Article Views (full-text article views including HTML views, PDF and ePub downloads, according to the available data) and Abstracts Views on Vision4Press platform.

Data correspond to usage on the plateform after 2015. The current usage metrics is available 48-96 hours after online publication and is updated daily on week days.

Initial download of the metrics may take a while.