Open Access

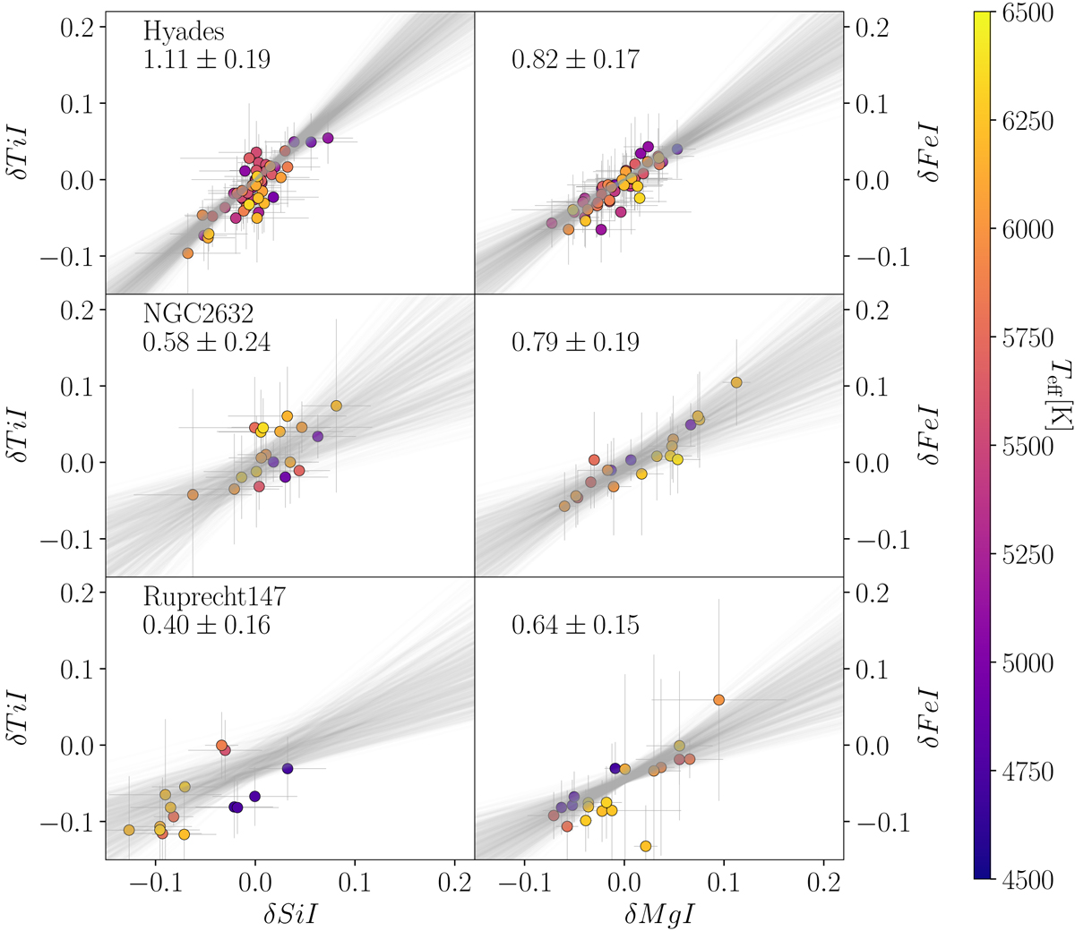
Fig. 10.

image

Left: δTi vs. δSi. Right: δMg vs. δFe, rows correspond to the three clusters. Color represents effective temperature. Translucid lines are the resulting linear fit according to the obtained posterior distribution in the intercept and the slope. The slope and its uncertainty is indicated in each panel.

Current usage metrics show cumulative count of Article Views (full-text article views including HTML views, PDF and ePub downloads, according to the available data) and Abstracts Views on Vision4Press platform.

Data correspond to usage on the plateform after 2015. The current usage metrics is available 48-96 hours after online publication and is updated daily on week days.

Initial download of the metrics may take a while.