Open Access

Fig. 7

image

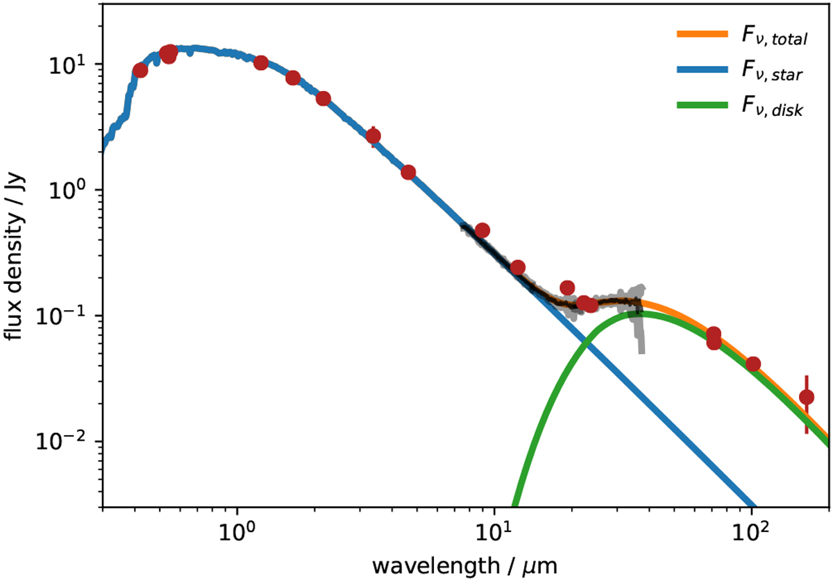
Fluxdensity distribution for a typical DEB target (HD 203, cf. Fig. 6). Photometric data are shown as red circles, and the Spitzer IRS spectrum is shown as a black solid line with uncertainties in grey. The best-fit model (orange line) has stellar (blue) and blackbody (green, for the DEB) components (see Sect. 3.3 for details).

Current usage metrics show cumulative count of Article Views (full-text article views including HTML views, PDF and ePub downloads, according to the available data) and Abstracts Views on Vision4Press platform.

Data correspond to usage on the plateform after 2015. The current usage metrics is available 48-96 hours after online publication and is updated daily on week days.

Initial download of the metrics may take a while.