Open Access

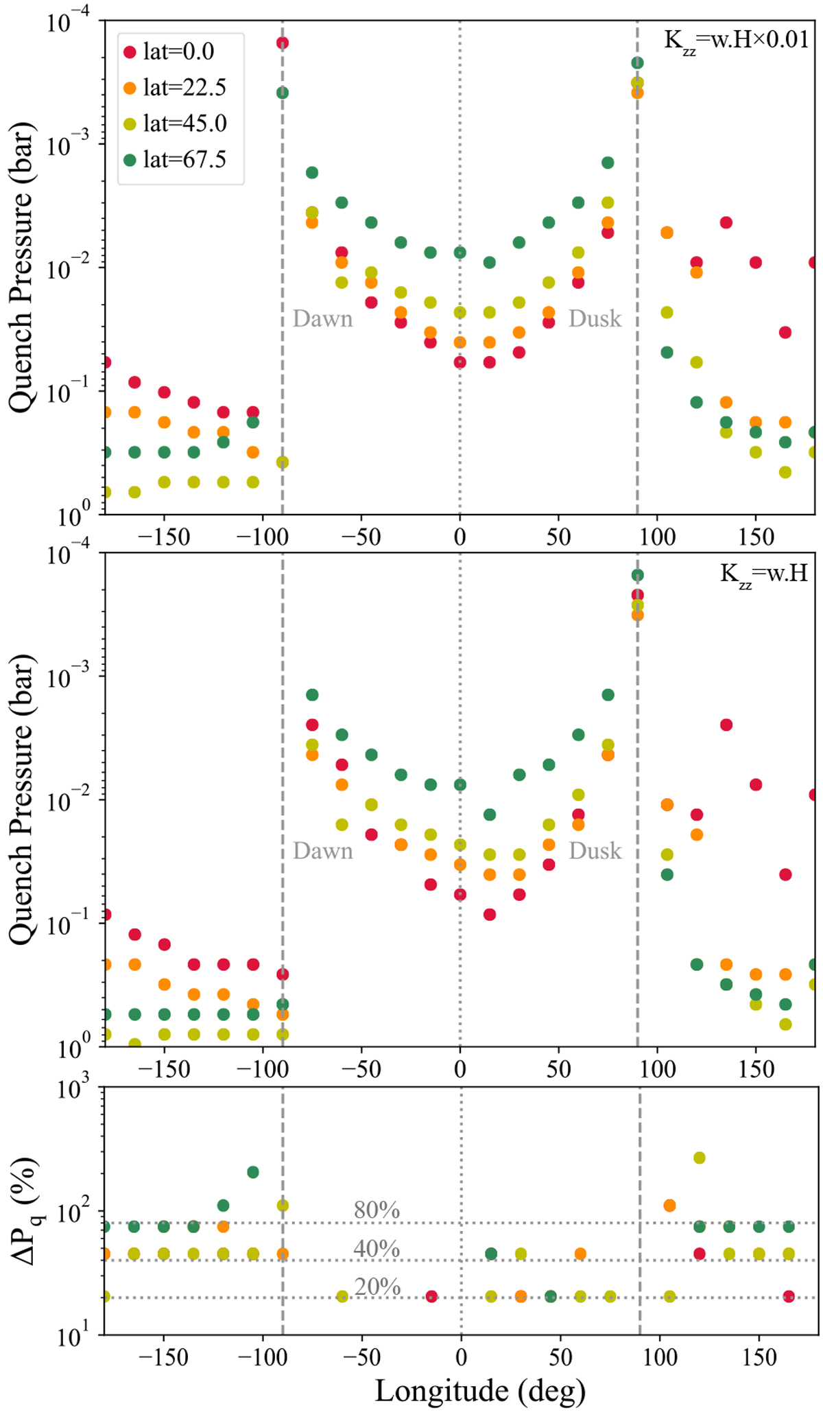
Fig. 8

image

Top: latitude and longitude dependency of quenching pressures, calculated using Kzz = w ⋅ H × 10−2. Middle: similar to the top panel but using Kzz = wH, i.e. traditional approach. Bottom: comparing the quenching pressures of models with Kzz = wH to the quenching pressures of models with Kzz = w ⋅ H × 10−2. The atmosphere is being quenched at deeper levels, usually 20–40% on the dayside and 40–80% on the nightside. Some terminator trajectories, however, show several orders of magnitude change in their quenching levels, deepening from the mbar to 1 bar pressures.

Current usage metrics show cumulative count of Article Views (full-text article views including HTML views, PDF and ePub downloads, according to the available data) and Abstracts Views on Vision4Press platform.

Data correspond to usage on the plateform after 2015. The current usage metrics is available 48-96 hours after online publication and is updated daily on week days.

Initial download of the metrics may take a while.