Free Access

Fig. 1

image

Download original image

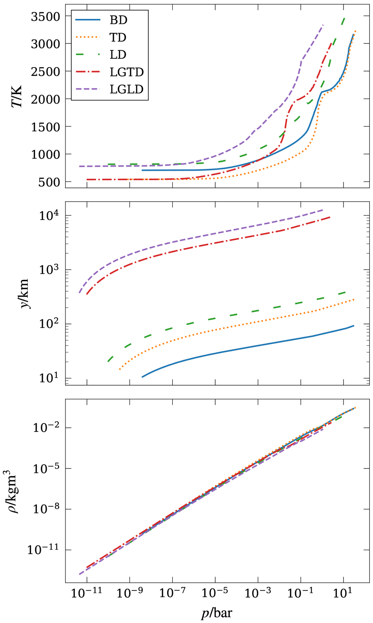
Atmospheric diagram (p, T; top panel), (p, y; middle panel), and (p, ρ; bottom panel) for the DRIFT-PHOENIX brown dwarf atmosphere model used in numerical simulations (BD: Teff = 1500 K, logg = 5.0, published by Stark et al. 2013 and Rodríguez-Barrera et al. 2018). Additional profiles for typical (LD, TD: log (g) = 4.5) and low-gravity (LGLD, LGTD: log (g) = 3.0) L dwarf (Teff = 2000 K) and T dwarf (Teff = 1200 K) models are shown for context (see also Table 2.)

Current usage metrics show cumulative count of Article Views (full-text article views including HTML views, PDF and ePub downloads, according to the available data) and Abstracts Views on Vision4Press platform.

Data correspond to usage on the plateform after 2015. The current usage metrics is available 48-96 hours after online publication and is updated daily on week days.

Initial download of the metrics may take a while.