Highlight
Free Access

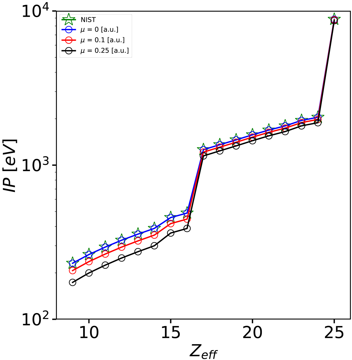
Fig. 3.

image

Ionization potential, IP, in Fe IX – Fe XXV as a function of the effective charge Zeff = Z − N + 1. Blue open circles: μ = 0 au (isolated atom case). Red open circles: μ = 0.1 au. Black open circles: μ = 0.25 au. Green open stars: NIST (Kramida et al. 2018).

Current usage metrics show cumulative count of Article Views (full-text article views including HTML views, PDF and ePub downloads, according to the available data) and Abstracts Views on Vision4Press platform.

Data correspond to usage on the plateform after 2015. The current usage metrics is available 48-96 hours after online publication and is updated daily on week days.

Initial download of the metrics may take a while.