Free Access

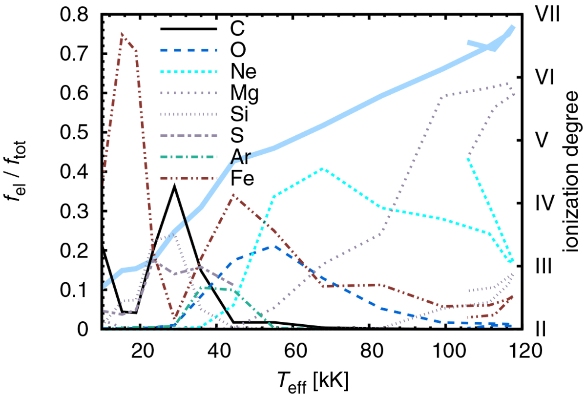
Fig. 2

image

Relative contribution of individual elements to the radiative force at the critical point as a function of the effective temperature. Thick blue line denotes the mean ionization degree that contributes to the radiative force, ∑fizi∕∑fi), where zi is the charge of ion i and fi is its contribution to the radiative force.

Current usage metrics show cumulative count of Article Views (full-text article views including HTML views, PDF and ePub downloads, according to the available data) and Abstracts Views on Vision4Press platform.

Data correspond to usage on the plateform after 2015. The current usage metrics is available 48-96 hours after online publication and is updated daily on week days.

Initial download of the metrics may take a while.