Open Access

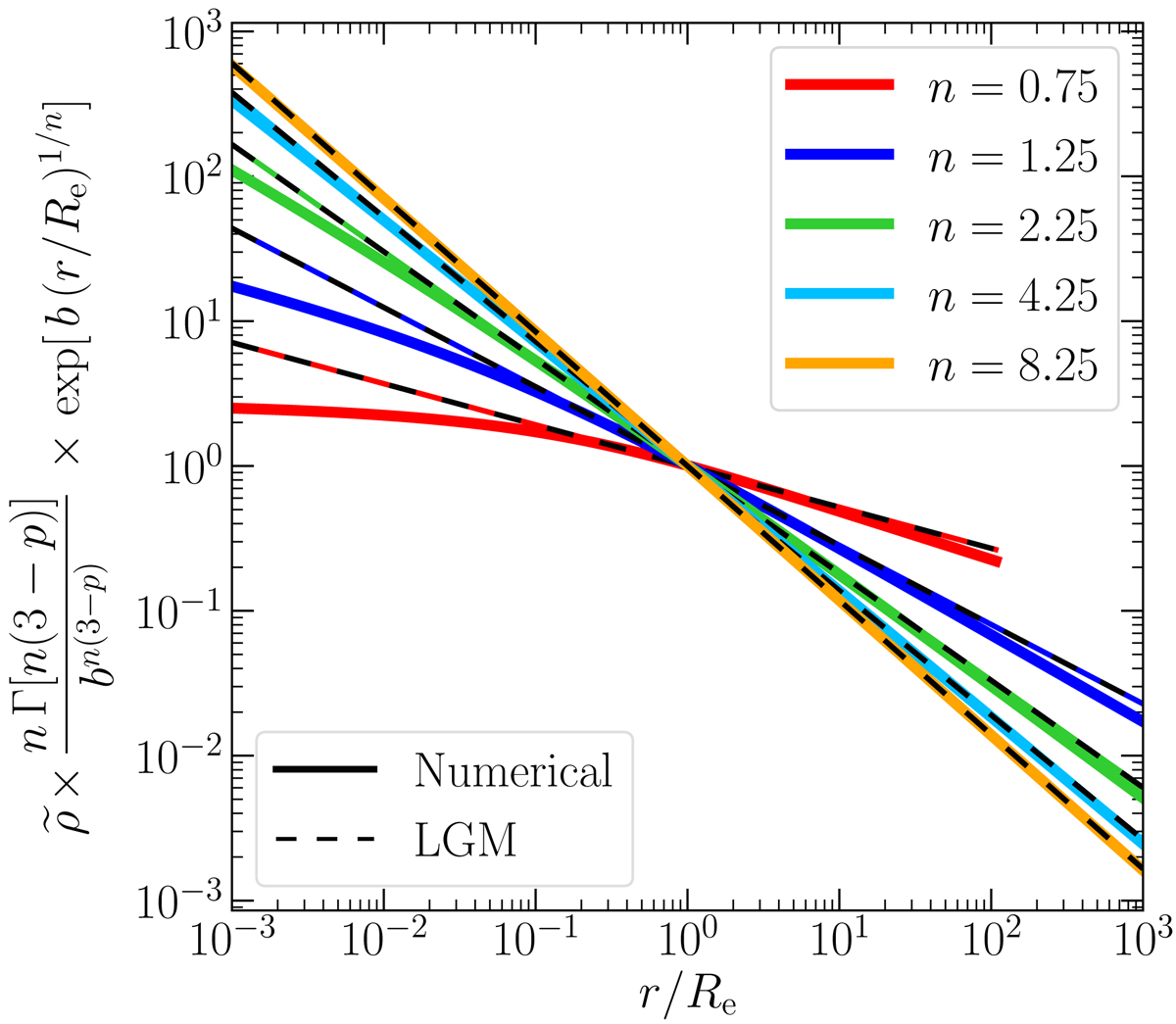
Fig. 2.

image

Illustration of the accuracy of the PS formula with the LGM coefficients for pn. The solid curves show the numerically estimated profiles, while the colored-dashed curves show the LGM approximation.

Current usage metrics show cumulative count of Article Views (full-text article views including HTML views, PDF and ePub downloads, according to the available data) and Abstracts Views on Vision4Press platform.

Data correspond to usage on the plateform after 2015. The current usage metrics is available 48-96 hours after online publication and is updated daily on week days.

Initial download of the metrics may take a while.