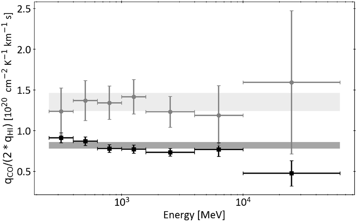
Fig. 6

Ratio of the CO to H I emissivity factors as a function of energy, for a spin temperature of 100 K, for two sets of molecular clouds, in the North Rim of the superbubble (dark) and in the North-Taurus-Cetus clouds (light). The bands give the ± 1σ confidence range on the ratios obtained for the full energy band. The constant ratios indicate that the same CR spectra permeate the atomic and molecular phases of the clouds.
Current usage metrics show cumulative count of Article Views (full-text article views including HTML views, PDF and ePub downloads, according to the available data) and Abstracts Views on Vision4Press platform.
Data correspond to usage on the plateform after 2015. The current usage metrics is available 48-96 hours after online publication and is updated daily on week days.
Initial download of the metrics may take a while.