Open Access

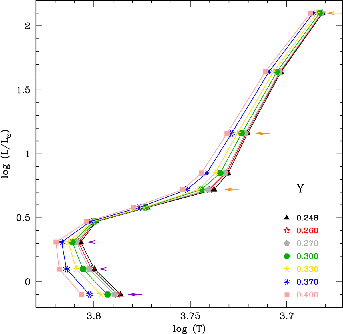
Fig. 1.

image

Hertzsprung-Russell diagram (HRD) showing isochrones computed by Chantereau et al. (2015) for a metallicity of [Fe/H] = −1.53. Different colors correspond to different chemical compositions, labeled by their initial helium mass fraction. Symbols correspond to positions along the isochrones where atmosphere models and synthetic spectra have been calculated. The arrows indicate the models used for binary combinations.

Current usage metrics show cumulative count of Article Views (full-text article views including HTML views, PDF and ePub downloads, according to the available data) and Abstracts Views on Vision4Press platform.

Data correspond to usage on the plateform after 2015. The current usage metrics is available 48-96 hours after online publication and is updated daily on week days.

Initial download of the metrics may take a while.