Open Access

Fig. 4.

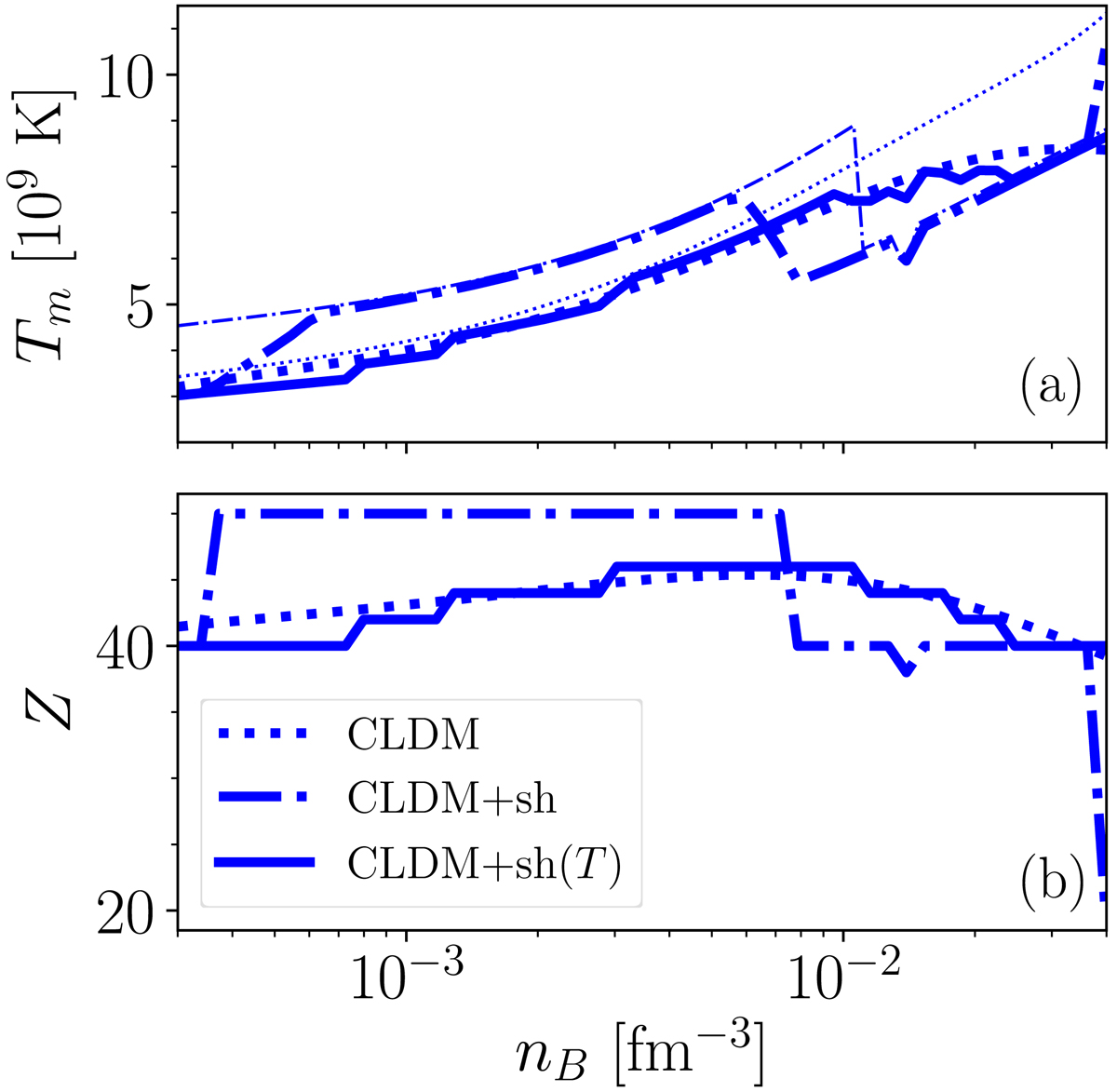
image

Crystallization temperature Tm (panel a) and equilibrium value of Z at T = Tm (panel b) as a function of baryon density in the inner crust for the BSk25 CLD model. Dash-dotted (solid) lines correspond to the calculations including temperature-independent (temperature-dependent) shell effects. Results without shell effects are shown as dotted lines. Thick lines give self-consistent results for the crystallization temperature, and thin lines in the panel a correspond to the approximate expression Eq. (16). See text for details.

Current usage metrics show cumulative count of Article Views (full-text article views including HTML views, PDF and ePub downloads, according to the available data) and Abstracts Views on Vision4Press platform.

Data correspond to usage on the plateform after 2015. The current usage metrics is available 48-96 hours after online publication and is updated daily on week days.

Initial download of the metrics may take a while.