Open Access

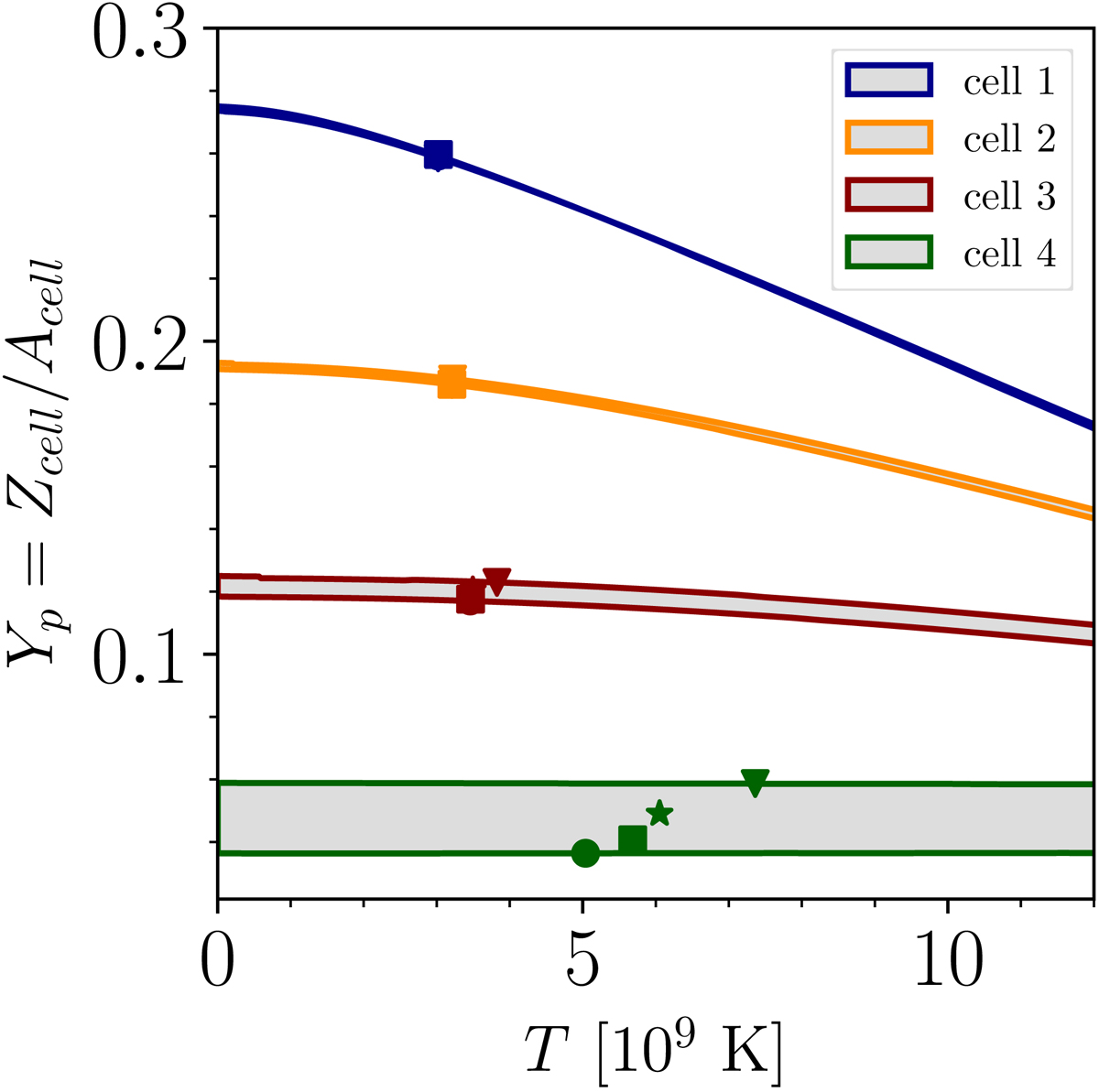
Fig. 9.

image

Proton fraction Yp as a function of temperature for different values of the baryon density: nB = 3 × 10−4 fm−3 (cell 1), nB = 5 × 10−4 fm−3(cell 2), nB = 10−3 fm−3 (cell 3), and nB = 10−2 fm−3 (cell 4). Gray bands represent minima and maxima of CLD calculations for the different BSk functionals including temperature-dependent shell corrections. Circles, stars, triangles, and squares correspond to crystallization temperature for BSk22, BSk24, BSk25, and BSk26, respectively. See text for details.

Current usage metrics show cumulative count of Article Views (full-text article views including HTML views, PDF and ePub downloads, according to the available data) and Abstracts Views on Vision4Press platform.

Data correspond to usage on the plateform after 2015. The current usage metrics is available 48-96 hours after online publication and is updated daily on week days.

Initial download of the metrics may take a while.